class TMVA::MethodFisher: public TMVA::MethodBase


Fisher and Mahalanobis Discriminants (Linear Discriminant Analysis)

In the method of Fisher discriminants event selection is performed in a transformed variable space with zero linear correlations, by distinguishing the mean values of the signal and background distributions.

The linear discriminant analysis determines an axis in the (correlated) hyperspace of the input variables such that, when projecting the output classes (signal and background) upon this axis, they are pushed as far as possible away from each other, while events of a same class are confined in a close vicinity. The linearity property of this method is reflected in the metric with which "far apart" and "close vicinity" are determined: the covariance matrix of the discriminant variable space.

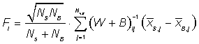
The classification of the events in signal and background classes relies on the following characteristics (only): overall sample means, xi, for each input variable, i, class-specific sample means, xS(B),i, and total covariance matrix Tij. The covariance matrix can be decomposed into the sum of a within- (Wij) and a between-class (Bij) class matrix. They describe the dispersion of events relative to the means of their own class (within-class matrix), and relative to the overall sample means (between-class matrix). The Fisher coefficients, Fi, are then given by

where in TMVA is set NS=NB, so that the factor in front of the sum simplifies to ½. The Fisher discriminant then reads
The offset F0 centers the sample mean of xFi at zero. Instead of using the within-class matrix, the Mahalanobis variant determines the Fisher coefficients as follows:
with resulting xMa that are very similar to the xFi.

TMVA provides two outputs for the ranking of the input variables:

  • Fisher test: the Fisher analysis aims at simultaneously maximising the between-class separation, while minimising the within-class dispersion. A useful measure of the discrimination power of a variable is hence given by the diagonal quantity: Bii/Wii.
  • Discrimination power: the value of the Fisher coefficient is a measure of the discriminating power of a variable. The discrimination power of set of input variables can therefore be measured by the scalar
The corresponding numbers are printed on standard output.
 

Function Members (Methods)

public:
virtual~MethodFisher()
voidTObject::AbstractMethod(const char* method) const
voidTObject::AbstractMethod(const char* method) const
virtual voidTMVA::MethodBase::AddClassifierToTestTree(TTree* theTestTree)
virtual voidTObject::AppendPad(Option_t* option = "")
virtual voidTObject::AppendPad(Option_t* option = "")
TDirectory*TMVA::MethodBase::BaseDir() const
virtual voidTObject::Browse(TBrowser* b)
virtual voidTObject::Browse(TBrowser* b)
voidTMVA::Configurable::CheckForUnusedOptions() const
static TClass*Class()
virtual const char*TObject::ClassName() const
virtual const char*TObject::ClassName() const
virtual voidTObject::Clear(Option_t* = "")
virtual voidTObject::Clear(Option_t* = "")
virtual TObject*TObject::Clone(const char* newname = "") const
virtual TObject*TObject::Clone(const char* newname = "") const
virtual Int_tTObject::Compare(const TObject* obj) const
virtual Int_tTObject::Compare(const TObject* obj) const
TMVA::ConfigurableTMVA::Configurable::Configurable(const TString& theOption = "")
virtual voidTObject::Copy(TObject& object) const
virtual voidTObject::Copy(TObject& object) const
virtual const TMVA::Ranking*CreateRanking()
TMVA::DataSet&TMVA::MethodBase::Data() const
virtual voidTObject::Delete(Option_t* option = "")MENU
virtual voidTObject::Delete(Option_t* option = "")MENU
virtual Int_tTObject::DistancetoPrimitive(Int_t px, Int_t py)
virtual Int_tTObject::DistancetoPrimitive(Int_t px, Int_t py)
virtual voidTObject::Draw(Option_t* option = "")
virtual voidTObject::Draw(Option_t* option = "")
virtual voidTObject::DrawClass() constMENU
virtual voidTObject::DrawClass() constMENU
virtual TObject*TObject::DrawClone(Option_t* option = "") constMENU
virtual TObject*TObject::DrawClone(Option_t* option = "") constMENU
virtual voidTObject::Dump() constMENU
virtual voidTObject::Dump() constMENU
virtual voidTObject::Error(const char* method, const char* msgfmt) const
virtual voidTObject::Error(const char* method, const char* msgfmt) const
virtual voidTObject::Execute(const char* method, const char* params, Int_t* error = 0)
virtual voidTObject::Execute(TMethod* method, TObjArray* params, Int_t* error = 0)
virtual voidTObject::Execute(const char* method, const char* params, Int_t* error = 0)
virtual voidTObject::Execute(TMethod* method, TObjArray* params, Int_t* error = 0)
virtual voidTObject::ExecuteEvent(Int_t event, Int_t px, Int_t py)
virtual voidTObject::ExecuteEvent(Int_t event, Int_t px, Int_t py)
virtual voidTObject::Fatal(const char* method, const char* msgfmt) const
virtual voidTObject::Fatal(const char* method, const char* msgfmt) const
virtual TObject*TObject::FindObject(const char* name) const
virtual TObject*TObject::FindObject(const TObject* obj) const
virtual TObject*TObject::FindObject(const char* name) const
virtual TObject*TObject::FindObject(const TObject* obj) const
virtual Option_t*TObject::GetDrawOption() const
virtual Option_t*TObject::GetDrawOption() const
static Long_tTObject::GetDtorOnly()
static Long_tTObject::GetDtorOnly()
virtual Double_tTMVA::MethodBase::GetEfficiency(TString, TTree*, Double_t& err)
TMVA::Event&TMVA::MethodBase::GetEvent() const
Double_tTMVA::MethodBase::GetEventVal(Int_t ivar) const
Double_tTMVA::MethodBase::GetEventValNormalised(Int_t ivar) const
Double_tTMVA::MethodBase::GetEventWeight() const
TMVA::MethodFisher::EFisherMethodGetFisherMethod()
virtual const char*TObject::GetIconName() const
virtual const char*TObject::GetIconName() const
const TString&TMVA::MethodBase::GetInputExp(int i) const
const TString&TMVA::MethodBase::GetInputVar(int i) const
const TString&TMVA::MethodBase::GetJobName() const
virtual Double_tTMVA::MethodBase::GetMaximumSignificance(Double_t SignalEvents, Double_t BackgroundEvents, Double_t& optimal_significance_value) const
const TString&TMVA::MethodBase::GetMethodName() const
const TString&TMVA::MethodBase::GetMethodTitle() const
TMVA::Types::EMVATMVA::MethodBase::GetMethodType() const
virtual Double_tGetMvaValue()
virtual const char*TMVA::MethodBase::GetName() const
Int_tTMVA::MethodBase::GetNvar() const
virtual char*TObject::GetObjectInfo(Int_t px, Int_t py) const
virtual char*TObject::GetObjectInfo(Int_t px, Int_t py) const
static Bool_tTObject::GetObjectStat()
static Bool_tTObject::GetObjectStat()
virtual Option_t*TObject::GetOption() const
virtual Option_t*TObject::GetOption() const
const TString&TMVA::Configurable::GetOptions() const
virtual Double_tTMVA::MethodBase::GetProba(Double_t mvaVal, Double_t ap_sig)
const TStringTMVA::MethodBase::GetProbaName() const
virtual Double_tTMVA::MethodBase::GetRarity(Double_t mvaVal, TMVA::Types::ESBType reftype = Types::kBackground) const
Double_tTMVA::MethodBase::GetRMS(Int_t ivar) const
virtual Double_tTMVA::MethodBase::GetSeparation(TH1*, TH1*) const
virtual Double_tTMVA::MethodBase::GetSeparation(TMVA::PDF* pdfS = 0, TMVA::PDF* pdfB = 0) const
Double_tTMVA::MethodBase::GetSignalReferenceCut() const
virtual Double_tTMVA::MethodBase::GetSignificance() const
const TString&TMVA::MethodBase::GetTestvarName() const
virtual const char*TObject::GetTitle() const
virtual const char*TObject::GetTitle() const
virtual Double_tTMVA::MethodBase::GetTrainingEfficiency(TString)
UInt_tTMVA::MethodBase::GetTrainingROOTVersionCode() const
TStringTMVA::MethodBase::GetTrainingROOTVersionString() const
UInt_tTMVA::MethodBase::GetTrainingTMVAVersionCode() const
TStringTMVA::MethodBase::GetTrainingTMVAVersionString() const
virtual UInt_tTObject::GetUniqueID() const
virtual UInt_tTObject::GetUniqueID() const
TMVA::VariableTransformBase&TMVA::MethodBase::GetVarTransform() const
Double_tTMVA::MethodBase::GetXmax(Int_t ivar) const
Double_tTMVA::MethodBase::GetXmin(Int_t ivar) const
virtual Bool_tTObject::HandleTimer(TTimer* timer)
virtual Bool_tTObject::HandleTimer(TTimer* timer)
virtual ULong_tTObject::Hash() const
virtual ULong_tTObject::Hash() const
virtual voidTObject::Info(const char* method, const char* msgfmt) const
virtual voidTObject::Info(const char* method, const char* msgfmt) const
virtual Bool_tTObject::InheritsFrom(const char* classname) const
virtual Bool_tTObject::InheritsFrom(const TClass* cl) const
virtual Bool_tTObject::InheritsFrom(const char* classname) const
virtual Bool_tTObject::InheritsFrom(const TClass* cl) const
virtual voidTObject::Inspect() constMENU
virtual voidTObject::Inspect() constMENU
voidTObject::InvertBit(UInt_t f)
voidTObject::InvertBit(UInt_t f)
virtual TClass*IsA() const
virtual Bool_tTObject::IsEqual(const TObject* obj) const
virtual Bool_tTObject::IsEqual(const TObject* obj) const
virtual Bool_tTObject::IsFolder() const
virtual Bool_tTObject::IsFolder() const
Bool_tTObject::IsOnHeap() const
Bool_tTObject::IsOnHeap() const
Bool_tTMVA::MethodBase::IsSignalEvent() const
virtual Bool_tTMVA::MethodBase::IsSignalLike()
virtual Bool_tTObject::IsSortable() const
virtual Bool_tTObject::IsSortable() const
Bool_tTObject::IsZombie() const
Bool_tTObject::IsZombie() const
virtual voidTObject::ls(Option_t* option = "") const
virtual voidTObject::ls(Option_t* option = "") const
virtual voidTMVA::MethodBase::MakeClass(const TString& classFileName = "") const
voidTObject::MayNotUse(const char* method) const
voidTObject::MayNotUse(const char* method) const
TDirectory*TMVA::MethodBase::MethodBaseDir() const
TMVA::MethodFisherMethodFisher(TMVA::DataSet& theData, const TString& theWeightFile, TDirectory* theTargetDir = NULL)
TMVA::MethodFisherMethodFisher(const TString& jobName, const TString& methodTitle, TMVA::DataSet& theData, const TString& theOption = "Fisher", TDirectory* theTargetDir = 0)
virtual Bool_tTObject::Notify()
virtual Bool_tTObject::Notify()
static voidTObject::operator delete(void* ptr)
static voidTObject::operator delete(void* ptr)
static voidTObject::operator delete(void* ptr, void* vp)
static voidTObject::operator delete(void* ptr, void* vp)
static voidTObject::operator delete[](void* ptr)
static voidTObject::operator delete[](void* ptr)
static voidTObject::operator delete[](void* ptr, void* vp)
static voidTObject::operator delete[](void* ptr, void* vp)
void*TObject::operator new(size_t sz)
void*TObject::operator new(size_t sz)
void*TObject::operator new(size_t sz, void* vp)
void*TObject::operator new(size_t sz, void* vp)
void*TObject::operator new[](size_t sz)
void*TObject::operator new[](size_t sz)
void*TObject::operator new[](size_t sz, void* vp)
void*TObject::operator new[](size_t sz, void* vp)
TMVA::IMethod&TMVA::IMethod::operator=(const TMVA::IMethod&)
virtual voidTObject::Paint(Option_t* option = "")
virtual voidTObject::Paint(Option_t* option = "")
voidTMVA::Configurable::ParseOptions(Bool_t verbose = kTRUE)
virtual voidTObject::Pop()
virtual voidTObject::Pop()
virtual voidTObject::Print(Option_t* option = "") const
virtual voidTObject::Print(Option_t* option = "") const
virtual voidTMVA::MethodBase::PrintHelpMessage() const
voidTMVA::Configurable::PrintOptions() const
virtual Int_tTObject::Read(const char* name)
virtual Int_tTObject::Read(const char* name)
Bool_tTMVA::MethodBase::ReadEvent(TTree* tr, UInt_t ievt, TMVA::Types::ESBType type = Types::kMaxSBType) const
voidTMVA::MethodBase::ReadStateFromFile()
voidTMVA::MethodBase::ReadStateFromStream(istream& tf)
voidTMVA::MethodBase::ReadStateFromStream(TFile& rf)
Bool_tTMVA::MethodBase::ReadTestEvent(UInt_t ievt, TMVA::Types::ESBType type = Types::kMaxSBType) const
Bool_tTMVA::MethodBase::ReadTrainingEvent(UInt_t ievt, TMVA::Types::ESBType type = Types::kMaxSBType) const
virtual voidReadWeightsFromStream(istream& i)
virtual voidTObject::RecursiveRemove(TObject* obj)
virtual voidTObject::RecursiveRemove(TObject* obj)
voidTObject::ResetBit(UInt_t f)
voidTObject::ResetBit(UInt_t f)
virtual voidTObject::SaveAs(const char* filename = "", Option_t* option = "") constMENU
virtual voidTObject::SaveAs(const char* filename = "", Option_t* option = "") constMENU
virtual voidTObject::SavePrimitive(basic_ostream<char,char_traits<char> >& out, Option_t* option = "")
virtual voidTObject::SavePrimitive(basic_ostream<char,char_traits<char> >& out, Option_t* option = "")
voidTObject::SetBit(UInt_t f)
voidTObject::SetBit(UInt_t f)
voidTObject::SetBit(UInt_t f, Bool_t set)
voidTObject::SetBit(UInt_t f, Bool_t set)
virtual voidTObject::SetDrawOption(Option_t* option = "")MENU
virtual voidTObject::SetDrawOption(Option_t* option = "")MENU
static voidTObject::SetDtorOnly(void* obj)
static voidTObject::SetDtorOnly(void* obj)
voidTMVA::MethodBase::SetMethodName(TString methodName)
voidTMVA::MethodBase::SetMethodTitle(TString methodTitle)
voidTMVA::MethodBase::SetMethodType(TMVA::Types::EMVA methodType)
voidTMVA::Configurable::SetName(const char* n)
static voidTObject::SetObjectStat(Bool_t stat)
static voidTObject::SetObjectStat(Bool_t stat)
voidTMVA::Configurable::SetOptions(const TString& s)
voidTMVA::MethodBase::SetTestvarName(const TString& v = "")
voidTMVA::MethodBase::SetTestvarPrefix(TString prefix)
virtual voidTObject::SetUniqueID(UInt_t uid)
virtual voidTObject::SetUniqueID(UInt_t uid)
virtual voidShowMembers(TMemberInspector& insp, char* parent)
virtual voidStreamer(TBuffer& b)
voidStreamerNVirtual(TBuffer& b)
virtual voidTObject::SysError(const char* method, const char* msgfmt) const
virtual voidTObject::SysError(const char* method, const char* msgfmt) const
virtual voidTMVA::MethodBase::Test(TTree* theTestTree = 0)
Bool_tTObject::TestBit(UInt_t f) const
Bool_tTObject::TestBit(UInt_t f) const
Int_tTObject::TestBits(UInt_t f) const
Int_tTObject::TestBits(UInt_t f) const
virtual voidTrain()
voidTMVA::MethodBase::TrainMethod()
virtual voidTObject::UseCurrentStyle()
virtual voidTObject::UseCurrentStyle()
virtual voidTObject::Warning(const char* method, const char* msgfmt) const
virtual voidTObject::Warning(const char* method, const char* msgfmt) const
virtual Int_tTObject::Write(const char* name = 0, Int_t option = 0, Int_t bufsize = 0)
virtual Int_tTObject::Write(const char* name = 0, Int_t option = 0, Int_t bufsize = 0) const
virtual Int_tTObject::Write(const char* name = 0, Int_t option = 0, Int_t bufsize = 0)
virtual Int_tTObject::Write(const char* name = 0, Int_t option = 0, Int_t bufsize = 0) const
virtual voidTMVA::MethodBase::WriteEvaluationHistosToFile()
virtual voidTMVA::MethodBase::WriteMonitoringHistosToFile() const
voidTMVA::MethodBase::WriteStateToFile() const
voidTMVA::MethodBase::WriteStateToStream(TFile& rf) const
voidTMVA::MethodBase::WriteStateToStream(ostream& tf, Bool_t isClass = kFALSE) const
virtual voidWriteWeightsToStream(ostream& o) const
protected:
Bool_tTMVA::MethodBase::CheckSanity(TTree* theTree = 0)
virtual voidTObject::DoError(int level, const char* location, const char* fmt, va_list va) const
virtual voidTObject::DoError(int level, const char* location, const char* fmt, va_list va) const
voidTMVA::Configurable::EnableLooseOptions(Bool_t b = kTRUE)
virtual voidGetHelpMessage() const
const TString&TMVA::MethodBase::GetInternalVarName(Int_t ivar) const
const TString&TMVA::MethodBase::GetOriginalVarName(Int_t ivar) const
TTree*TMVA::MethodBase::GetTestTree() const
static TMVA::MethodBase*TMVA::MethodBase::GetThisBase()
TTree*TMVA::MethodBase::GetTrainingTree() const
TMVA::Types::EVariableTransformTMVA::MethodBase::GetVariableTransform() const
TStringTMVA::MethodBase::GetWeightFileDir() const
TStringTMVA::MethodBase::GetWeightFileName() const
Bool_tTMVA::MethodBase::HasTrainingTree() const
Bool_tTMVA::MethodBase::Help() const
Bool_tTMVA::MethodBase::IsNormalised() const
TDirectory*TMVA::MethodBase::LocalTDir() const
Bool_tTMVA::Configurable::LooseOptionCheckingEnabled() const
virtual voidMakeClassSpecific(ostream&, const TString&) const
virtual voidTMVA::MethodBase::MakeClassSpecificHeader(ostream&, const TString& = "") const
voidTObject::MakeZombie()
voidTObject::MakeZombie()
voidTMVA::Configurable::ReadOptionsFromStream(istream& istr)
voidTMVA::Configurable::ResetSetFlag()
voidTMVA::MethodBase::SetNormalised(Bool_t norm)
voidTMVA::MethodBase::SetNvar(Int_t n)
voidTMVA::MethodBase::SetSignalReferenceCut(Double_t cut)
voidTMVA::MethodBase::SetWeightFileDir(TString fileDir)
voidTMVA::MethodBase::SetWeightFileName(TString)
voidTMVA::MethodBase::Statistics(TMVA::Types::ETreeType treeType, const TString& theVarName, Double_t&, Double_t&, Double_t&, Double_t&, Double_t&, Double_t&, Bool_t norm = kFALSE)
Bool_tTMVA::MethodBase::TxtWeightsOnly() const
Bool_tTMVA::MethodBase::Verbose() const
voidTMVA::Configurable::WriteOptionsToStream(ostream& o, const TString& prefix) const
private:
virtual voidDeclareOptions()
voidGetCov_BetweenClass()
voidGetCov_Full()
voidGetCov_WithinClass()
voidGetDiscrimPower()
voidGetFisherCoeff()
voidGetMean()
voidInitFisher()
voidInitMatrices()
voidPrintCoefficients()
virtual voidProcessOptions()

Data Members

public:
enum EFisherMethod { kFisher
kMahalanobis
};
enum TMVA::MethodBase::EWeightFileType { kROOT
kTEXT
};
enum TMVA::MethodBase::ECutOrientation { kNegative
kPositive
};
enum TObject::EStatusBits { kCanDelete
kMustCleanup
kObjInCanvas
kIsReferenced
kHasUUID
kCannotPick
kNoContextMenu
kInvalidObject
};
enum TObject::[unnamed] { kIsOnHeap
kNotDeleted
kZombie
kBitMask
kSingleKey
kOverwrite
kWriteDelete
};
enum TObject::EStatusBits { kCanDelete
kMustCleanup
kObjInCanvas
kIsReferenced
kHasUUID
kCannotPick
kNoContextMenu
kInvalidObject
};
enum TObject::[unnamed] { kIsOnHeap
kNotDeleted
kZombie
kBitMask
kSingleKey
kOverwrite
kWriteDelete
};
public:
TMVA::MsgLoggerTMVA::Configurable::fLoggermessage logger
protected:
vector<TString>*TMVA::MethodBase::fInputVarsvector of input variables used in MVA
TMVA::MsgLoggerTMVA::MethodBase::fLoggermessage logger
Int_tTMVA::MethodBase::fNbinsnumber of bins in representative histograms
Int_tTMVA::MethodBase::fNbinsHnumber of bins in evaluation histograms
TMVA::Ranking*TMVA::MethodBase::fRankingpointer to ranking object (created by derived classifiers)
private:
TMatrixD*fBetwbetween-class matrix
TMatrixD*fCovfull covariance matrix
vector<Double_t>*fDiscrimPowdiscriminating power
Double_tfF0offset
vector<Double_t>*fFisherCoeffFisher coefficients
TMVA::MethodFisher::EFisherMethodfFisherMethodFisher or Mahalanobis
TMatrixD*fMeanMatx
Double_tfSumOfWeightsBsum-of-weights for background training events
Double_tfSumOfWeightsSsum-of-weights for signal training events
TStringfTheMethodFisher or Mahalanobis
TMatrixD*fWithwithin-class matrix

Class Charts

Inheritance Inherited Members Includes Libraries
Class Charts

Function documentation

MethodFisher(const TString& jobName, const TString& methodTitle, TMVA::DataSet& theData, const TString& theOption = "Fisher", TDirectory* theTargetDir = 0)
 standard constructor for the "Fisher"
MethodFisher(TMVA::DataSet& theData, const TString& theWeightFile, TDirectory* theTargetDir = NULL)
 constructor to calculate the Fisher-MVA from previously generatad
 coefficients (weight file)
void InitFisher( void )
 default initialization called by all constructors
void DeclareOptions()
 MethodFisher options:
 format and syntax of option string: "type"
 where type is "Fisher" or "Mahalanobis"

void ProcessOptions()
 process user options
~MethodFisher( void )
 destructor
void Train( void )
 computation of Fisher coefficients by series of matrix operations
Double_t GetMvaValue()
 returns the Fisher value (no fixed range)
void InitMatrices( void )
 initializaton method; creates global matrices and vectors
 should never be called without existing trainingTree
void GetMean( void )
 compute mean values of variables in each sample, and the overall means
void GetCov_WithinClass( void )
 the matrix of covariance 'within class' reflects the dispersion of the
 events relative to the center of gravity of their own class
void GetCov_BetweenClass( void )
 the matrix of covariance 'between class' reflects the dispersion of the
 events of a class relative to the global center of gravity of all the class
 hence the separation between classes
void GetCov_Full( void )
 compute full covariance matrix from sum of within and between matrices
void GetFisherCoeff( void )
 Fisher = Sum { [coeff]*[variables] }

 let Xs be the array of the mean values of variables for signal evts
 let Xb be the array of the mean values of variables for backgd evts
 let InvWith be the inverse matrix of the 'within class' correlation matrix

 then the array of Fisher coefficients is
 [coeff] =sqrt(fNsig*fNbgd)/fNevt*transpose{Xs-Xb}*InvWith
void GetDiscrimPower( void )
 computation of discrimination power indicator for each variable
 small values of "fWith" indicates little compactness of sig & of backgd
 big values of "fBetw" indicates large separation between sig & backgd

 we want signal & backgd classes as compact and separated as possible
 the discriminating power is then defined as the ration "fBetw/fWith"
const TMVA::Ranking* CreateRanking()
 computes ranking of input variables
void PrintCoefficients( void )
 display Fisher coefficients and discriminating power for each variable
 check maximum length of variable name
void WriteWeightsToStream(ostream& o) const
 save the weights
void ReadWeightsFromStream(istream& i)
 read Fisher coefficients from weight file
void MakeClassSpecific(ostream& , const TString& ) const
 write Fisher-specific classifier response
void GetHelpMessage()
 get help message text

 typical length of text line:
         "|--------------------------------------------------------------|"
EFisherMethod GetFisherMethod( void )
{ return fFisherMethod; }

Author: Andreas Hoecker, Xavier Prudent, Joerg Stelzer, Helge Voss, Kai Voss
Last change: root/tmva $Id: MethodFisher.h 21630 2008-01-10 19:40:44Z brun $
Last generated: 2008-05-13 17:20
Copyright (c) 2005: *

This page has been automatically generated. If you have any comments or suggestions about the page layout send a mail to ROOT support, or contact the developers with any questions or problems regarding ROOT.