library: libGraf
#include "TLatex.h"

TLatex


class description - source file - inheritance tree (.pdf)

class TLatex : public TText, public TAttLine

Inheritance Chart:
TObject
<-
TNamed
TAttText
<-
TText
TAttLine
<-
TLatex

    protected:
FormSize Anal1(TextSpec_t spec, const Char_t* t, Int_t length) FormSize Analyse(Double_t x, Double_t y, TextSpec_t spec, const Char_t* t, Int_t length) Int_t CheckLatexSyntax(TString& text) void DrawCircle(Double_t x1, Double_t y1, Double_t r, TextSpec_t spec) void DrawLine(Double_t x1, Double_t y1, Double_t x2, Double_t y2, TextSpec_t spec) void DrawParenthesis(Double_t x1, Double_t y1, Double_t r1, Double_t r2, Double_t phimin, Double_t phimax, TextSpec_t spec) FormSize FirstParse(Double_t angle, Double_t size, const Char_t* text) FormSize Readfs() void Savefs(FormSize* fs) public:
TLatex() TLatex(Double_t x, Double_t y, const char* text) TLatex(const TLatex& text) virtual ~TLatex() static TClass* Class() virtual void Copy(TObject& text) const TLatex* DrawLatex(Double_t x, Double_t y, const char* text) virtual void GetBoundingBox(UInt_t& w, UInt_t& h) Double_t GetHeight() const Double_t GetXsize() Double_t GetYsize() virtual TClass* IsA() const virtual void Paint(Option_t* option) virtual void PaintLatex(Double_t x, Double_t y, Double_t angle, Double_t size, const char* text) virtual void SavePrimitive(ofstream& out, Option_t* option) virtual void SetIndiceSize(Double_t factorSize) virtual void SetLimitIndiceSize(Int_t limitFactorSize) virtual void ShowMembers(TMemberInspector& insp, char* parent) virtual void Streamer(TBuffer& b) void StreamerNVirtual(TBuffer& b)

Data Members


    protected:
Double_t fFactorSize !Relative size of subscripts and superscripts Double_t fFactorPos !Relative position of subscripts and superscripts Int_t fLimitFactorSize lower bound for subscripts/superscripts size const Char_t* fError !error code Bool_t fShow !is true during the second pass (Painting) FormSize_t* fTabSize !array of values for the different zones Double_t fOriginSize Font size of the starting font Int_t fTabMax !Maximum allocation for array fTabSize; Int_t fPos !Current position in array fTabSize; public:
static const enum TLatex:: kTextNDC

Class Description

   TLatex : to draw Mathematical Formula

   This class has been implemented by 
Nicolas Brun
.
   ========================================================

   TLatex's purpose is to write mathematical equations
   The syntax is very similar to the Latex one :

   ** Subscripts and Superscripts
   ------------------------------
   Subscripts and superscripts are made with the _ and ^ commands.  These commands
   can be combined to make complicated subscript and superscript expressions.
   You may choose how to display subscripts and superscripts using the 2 functions
   SetIndiceSize(Double_t) and SetLimitIndiceSize(Int_t).
/*p */

   ** Fractions
   ------------
   Fractions denoted by the / symbol are made in the obvious way.
   The #frac command is used for large fractions in displayed formula; it has
   two arguments: the numerator and the denominator.
/* */

   ** splitting a line in two lines
   --------------------------------
   A text can be split in two lines via the command #splitline
   For example #splitline{"21 April 2003}{14:02:30}

   ** Roots
   --------
   The #sqrt command produces the square root of its argument; it has an optional
   first argument for other roots.
   ex: #sqrt{10}  #sqrt[3]{10}

   ** Mathematical Symbols
   -----------------------
   TLatex can make dozens of special mathematical symbols. A few of them, such as
   + and > , are produced by typing the corresponding keyboard character.  Others
   are obtained with the commands in the following table :
/* */
    #Box draw a square

   ** Delimiters
   -------------
   You can produce 4 kinds of proportional delimiters.
   #[]{....} or "a la" Latex #left[.....#right] : big square brackets
   #{}{....} or              #left{.....#right} : big curly brackets
   #||{....} or              #left|.....#right| : big absolute value symbol
   #(){....} or              #left(.....#right) : big parenthesis

   ** Greek Letters
   ----------------
   The command to produce a lowercase Greek letter is obtained by adding a # to
   the name of the letter. For an uppercase Greek letter, just capitalize the first
   letter of the command name. Some letter have two representations. The name of the
   second one (the "variation") starts with "var".
   #alpha #beta #chi #delta #varepsilon #phi #gamma #eta #iota #varphi #kappa #lambda
   #mu #nu #omicron #pi #theta #rho #sigma #tau #upsilon #varomega #omega #xi #psi #zeta
   #Alpha #Beta #Chi #Delta #Epsilon #Phi #Gamma #Eta #Iota #vartheta
   #Kappa #Lambda #Mu #Nu #Omicron #Pi #Theta #Rho #Sigma #Tau
   #Upsilon #varsigma #Omega #Xi #Psi #Zeta #varUpsilon #epsilon
/* */

   ** Putting One Thing Above Another
   ----------------------------------
   Symbols in a formula are sometimes placed on above another. TLatex provides
   special commands for doing this.

   ** Accents
   ----------
    #hat{a} = hat
    #check  = inversed hat
    #acute  = acute
    #grave  = agrave
    #dot    = derivative
    #ddot   = double derivative
    #tilde  = tilde

    #slash special sign. Draw a slash on top of the text between brackets
   for example #slash{E}_{T}  generates "Missing ET"

/* */
   #dot  #ddot  #hat  #check  #acute  #grave  #tilde

   ** Changing Style in Math Mode
   ------------------------------
   You can change the font and the text color at any moment using :
   #font[font-number]{...} and #color[color-number]{...}

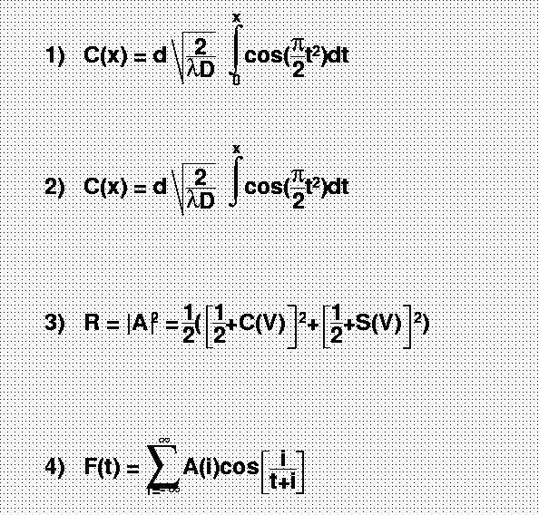
   ** Example1
   -----------
     The following macro (tutorials/latex.C) produces the following picture:
  {
     gROOT->Reset();
     TCanvas c1("c1","Latex",600,700);
     TLatex l;
     l.SetTextAlign(12);
     l.SetTextSize(0.04);
     l.DrawLatex(0.1,0.8,"1)   C(x) = d #sqrt{#frac{2}{#lambdaD}}  #int^{x}_{0}cos(#frac{#pi}{2}t^{2})dt");
     l.DrawLatex(0.1,0.6,"2)   C(x) = d #sqrt{#frac{2}{#lambdaD}}  #int^{x}cos(#frac{#pi}{2}t^{2})dt");
     l.DrawLatex(0.1,0.4,"3)   R = |A|^{2} = #frac{1}{2}(#[]{#frac{1}{2}+C(V)}^{2}+#[]{#frac{1}{2}+S(V)}^{2})");
     l.DrawLatex(0.1,0.2,"4)   F(t) = #sum_{i=-#infty}^{#infty}A(i)cos#[]{#frac{i}{t+i}}");
  }
/* */

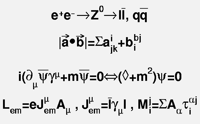
   ** Example2
   -----------
     The following macro (tutorials/latex2.C) produces the following picture:
  {
     gROOT->Reset();
     TCanvas c1("c1","Latex",600,700);
     TLatex l;
     l.SetTextAlign(23);
     l.SetTextSize(0.1);
     l.DrawLatex(0.5,0.95,"e^{+}e^{-}#rightarrowZ^{0}#rightarrowI#bar{I}, q#bar{q}");
     l.DrawLatex(0.5,0.75,"|#vec{a}#bullet#vec{b}|=#Sigmaa^{i}_{jk}+b^{bj}_{i}");
     l.DrawLatex(0.5,0.5,"i(#partial_{#mu}#bar{#psi}#gamma^{#mu}+m#bar{#psi}=0#Leftrightarrow(#Box+m^{2})#psi=0");
     l.DrawLatex(0.5,0.3,"L_{em}=eJ^{#mu}_{em}A_{#mu} , J^{#mu}_{em}=#bar{I}#gamma_{#mu}I , M^{j}_{i}=#SigmaA_{#alpha}#tau^{#alphaj}_{i}");
  }
/* */

   ** Example3
   -----------
     The following macro (tutorials/latex3.C) produces the following picture:
  {
     gROOT->Reset();
   TCanvas c1("c1");
   TPaveText pt(.1,.5,.9,.9);
   pt.AddText("#frac{2s}{#pi#alpha^{2}}  #frac{d#sigma}{dcos#theta} (e^{+}e^{-} #rightarrow f#bar{f} ) = ");
   pt.AddText("#left| #frac{1}{1 - #Delta#alpha} #right|^{2} (1+cos^{2}#theta");
   pt.AddText("+ 4 Re #left{ #frac{2}{1 - #Delta#alpha} #chi(s) #[]{#hat{g}_{#nu}^{e}#hat{g}_{#nu}^{f}
    (1 + cos^{2}#theta) + 2 #hat{g}_{a}^{e}#hat{g}_{a}^{f} cos#theta) } #right}");
   pt.SetLabel("Born equation");
   pt.Draw();
  }
/* */

   ** Alignment rules
   ------------------
  The TText alignment rules apply to the TLatex objects with one exception
  concerning the vertical alignment:
  If the vertical alignment = 1 , subscripts are not taken into account
  if the vertical alignment = 0 , the text is aligned to the box surrounding
                                  the full text with sub and superscripts
  This is illustrated in the following example:

{
  gROOT->Reset();
  TCanvas c1("c1","c1",600,500);
  c1.SetGrid();
  c1.DrawFrame(0,0,1,1);
  const char *longstring = "K_{S}... K^{*0}... #frac{2s}{#pi#alpha^{2}}
 #frac{d#sigma}{dcos#theta} (e^{+}e^{-} #rightarrow f#bar{f} ) =
 #left| #frac{1}{1 - #Delta#alpha} #right|^{2} (1+cos^{2}#theta)";

  TLatex latex;
  latex.SetTextSize(0.033);
  latex.SetTextAlign(13);  //align at top
  latex.DrawLatex(.2,.9,"K_{S}");
  latex.DrawLatex(.3,.9,"K^{*0}");
  latex.DrawLatex(.2,.8,longstring);

  latex.SetTextAlign(12);  //centered
  latex.DrawLatex(.2,.6,"K_{S}");
  latex.DrawLatex(.3,.6,"K^{*0}");
  latex.DrawLatex(.2,.5,longstring);

  latex.SetTextAlign(11);  //default bottom alignment
  latex.DrawLatex(.2,.4,"K_{S}");
  latex.DrawLatex(.3,.4,"K^{*0}");
  latex.DrawLatex(.2,.3,longstring);

  latex.SetTextAlign(10);  //special bottom alignment
  latex.DrawLatex(.2,.2,"K_{S}");
  latex.DrawLatex(.3,.2,"K^{*0}");
  latex.DrawLatex(.2,.1,longstring);

  latex.SetTextAlign(12);
  latex->SetTextFont(72);
  latex->DrawLatex(.1,.80,"13");
  latex->DrawLatex(.1,.55,"12");
  latex->DrawLatex(.1,.35,"11");
  latex->DrawLatex(.1,.18,"10");
}
/* */
______________________________________________________________________________

TLatex()
 default constructor

TLatex(Double_t x, Double_t y, const char *text) :TText(x,y,text)
 normal constructor

~TLatex()

TLatex(const TLatex &text) : TText(text), TAttLine(text)

void Copy(TObject &obj) const
*-*-*-*-*-*-*-*-*-*-*Copy this TLatex object to another TLatex*-*-*-*-*-*-*
*-*                  =========================================

FormSize Anal1(TextSpec_t spec, const Char_t* t, Int_t length)

FormSize Analyse(Double_t x, Double_t y, TextSpec_t spec, const Char_t* t, Int_t length)
  Analyse and paint the TLatex formula

  It is called twice : first for calculating the size of
  each portion of the formula, then to paint the formula.
  When analyse finds an operator or separator, it calls
  itself recursively to analyse the arguments of the operator.
  when the argument is an atom (normal text), it calculates
  the size of it and return it as the result.
  for example : if the operator #frac{arg1}{arg2} is found :
  Analyse(arg1) return the size of arg1 (width, up, down)
  Analyse(arg2) return the size of arg2
  now, we know the size of #frac{arg1}{arg2}  :
  width = max(width_arg1, width_arg2)
  up = up_arg1 + down_arg1
  down = up_arg2 + down_arg2
  so, when the user wants to paint a fraction at position (x,y),
  the rect used for the formula is : (x,y-up,x+width,y+down)

 return size of zone occupied by the text/formula
 t : chain to be analyzed
 length : number of chars in t.


TLatex* DrawLatex(Double_t x, Double_t y, const char *text)
 Make a copy of this object with the new parameters
 And copy object attributes

void DrawLine(Double_t x1, Double_t y1, Double_t x2, Double_t y2, TextSpec_t spec)
 Draw a line in a Latex formula

void DrawCircle(Double_t x1, Double_t y1, Double_t r, TextSpec_t spec )
 Draw an arc of ellipse in a Latex formula (right or left parenthesis)

void DrawParenthesis(Double_t x1, Double_t y1, Double_t r1, Double_t r2, Double_t phimin, Double_t phimax, TextSpec_t spec )
 Draw an arc of ellipse in a Latex formula (right or left parenthesis)

void Paint(Option_t *)
 Paint

void PaintLatex(Double_t x, Double_t y, Double_t angle, Double_t size, const Char_t *text1)
 Main drawing function

Int_t CheckLatexSyntax(TString &text)
 Check if the Latex syntax is correct

FormSize FirstParse(Double_t angle, Double_t size, const Char_t *text)
 first parsing of the analyse sequence

Double_t GetHeight() const
 return height of current pad in pixels

Double_t GetXsize()
 return size of the formula along X in pad coordinates

void GetBoundingBox(UInt_t &w, UInt_t &h)
 return text size in pixels

Double_t GetYsize()
 return size of the formula along Y in pad coordinates

FormSize Readfs()
 read fs in fTabSize

void Savefs(FormSize *fs)
 Save fs values in array fTabSize

void SavePrimitive(ofstream &out, Option_t *)
 Save primitive as a C++ statement(s) on output stream out

void SetIndiceSize(Double_t factorSize)
 set relative size of subscripts and superscripts

void SetLimitIndiceSize(Int_t limitFactorSize)
 Set limit for text resizing of subscipts and superscripts



Inline Functions


            TClass* Class()
            TClass* IsA() const
               void ShowMembers(TMemberInspector& insp, char* parent)
               void Streamer(TBuffer& b)
               void StreamerNVirtual(TBuffer& b)


Author: Nicolas Brun 07/08/98
Last update: root/graf:$Name: $:$Id: TLatex.cxx,v 1.46 2004/11/24 15:50:27 brun Exp $
Copyright (C) 1995-2000, Rene Brun and Fons Rademakers. *


ROOT page - Class index - Class Hierarchy - Top of the page

This page has been automatically generated. If you have any comments or suggestions about the page layout send a mail to ROOT support, or contact the developers with any questions or problems regarding ROOT.