Logo ROOT  
Reference Guide
 
Loading...
Searching...
No Matches
rf608_fitresultaspdf.py File Reference

Detailed Description

View in nbviewer Open in SWAN
Likelihood and minimization: representing the parabolic approximation of the fit as a multi-variate Gaussian on the parameters of the fitted pdf

import ROOT
# Create model and dataset
# -----------------------------------------------
# Observable
x = ROOT.RooRealVar("x", "x", -20, 20)
# Model (intentional strong correlations)
mean = ROOT.RooRealVar("mean", "mean of g1 and g2", 0, -1, 1)
sigma_g1 = ROOT.RooRealVar("sigma_g1", "width of g1", 2)
g1 = ROOT.RooGaussian("g1", "g1", x, mean, sigma_g1)
sigma_g2 = ROOT.RooRealVar("sigma_g2", "width of g2", 4, 3.0, 5.0)
g2 = ROOT.RooGaussian("g2", "g2", x, mean, sigma_g2)
frac = ROOT.RooRealVar("frac", "frac", 0.5, 0.0, 1.0)
model = ROOT.RooAddPdf("model", "model", [g1, g2], [frac])
# Generate 1000 events
data = model.generate({x}, 1000)
# Fit model to data
# ----------------------------------
r = model.fitTo(data, Save=True, PrintLevel=-1)
# Create MV Gaussian pdf of fitted parameters
# ------------------------------------------------------------------------------------
parabPdf = r.createHessePdf({frac, mean, sigma_g2})
# Some exercises with the parameter pdf
# -----------------------------------------------------------------------------
# Generate 100K points in the parameter space, from the MVGaussian pdf
d = parabPdf.generate({mean, sigma_g2, frac}, 100000)
# Sample a 3-D histogram of the pdf to be visualized as an error
# ellipsoid using the GLISO draw option
hh_3d = parabPdf.createHistogram("mean,sigma_g2,frac", 25, 25, 25)
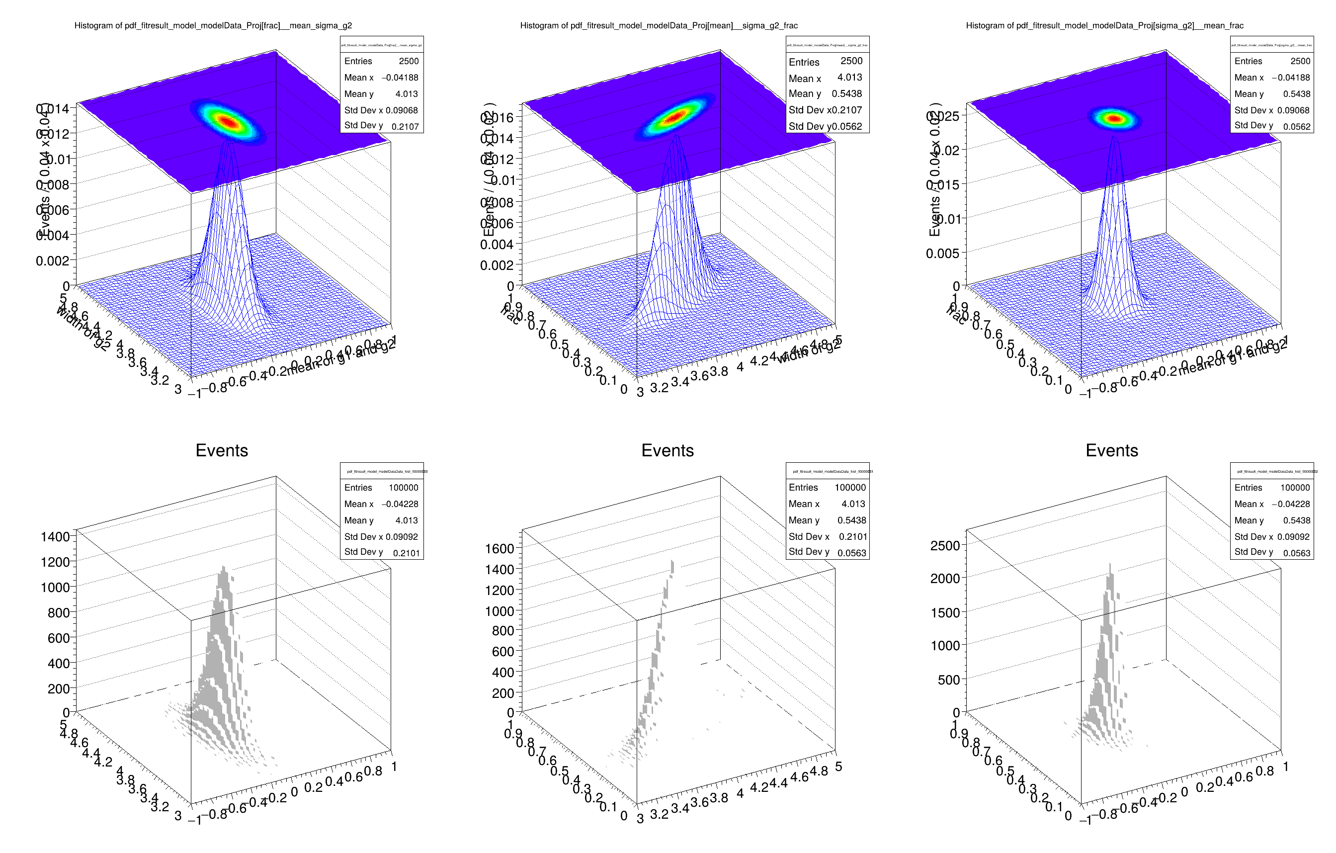
# Project 3D parameter pdf down to 3 permutations of two-dimensional pdfs
# The integrations corresponding to these projections are performed analytically
# by the MV Gaussian pdf
pdf_sigmag2_frac = parabPdf.createProjection({mean})
pdf_mean_frac = parabPdf.createProjection({sigma_g2})
pdf_mean_sigmag2 = parabPdf.createProjection({frac})
# Make 2D plots of the 3 two-dimensional pdf projections
hh_sigmag2_frac = pdf_sigmag2_frac.createHistogram("sigma_g2,frac", 50, 50)
hh_mean_frac = pdf_mean_frac.createHistogram("mean,frac", 50, 50)
hh_mean_sigmag2 = pdf_mean_sigmag2.createHistogram("mean,sigma_g2", 50, 50)
# Draw the 'sigar'
c1 = ROOT.TCanvas("rf608_fitresultaspdf_1", "rf608_fitresultaspdf_1", 600, 600)
hh_3d.Draw("gliso")
c1.SaveAs("rf608_fitresultaspdf_1.png")
# Draw the 2D projections of the 3D pdf
c2 = ROOT.TCanvas("rf608_fitresultaspdf_2", "rf608_fitresultaspdf_2", 900, 600)
c2.Divide(3, 2)
hh_mean_sigmag2.GetZaxis().SetTitleOffset(1.4)
hh_sigmag2_frac.GetZaxis().SetTitleOffset(1.4)
hh_mean_frac.GetZaxis().SetTitleOffset(1.4)
# Draw the distributions of parameter points sampled from the pdf
tmp1 = d.createHistogram(mean, sigma_g2, 50, 50)
tmp2 = d.createHistogram(sigma_g2, frac, 50, 50)
tmp3 = d.createHistogram(mean, frac, 50, 50)
tmp1.GetZaxis().SetTitleOffset(1.4)
tmp1.Draw("lego3")
tmp2.GetZaxis().SetTitleOffset(1.4)
tmp2.Draw("lego3")
tmp3.GetZaxis().SetTitleOffset(1.4)
tmp3.Draw("lego3")
c2.SaveAs("rf608_fitresultaspdf_2.png")
ROOT::Detail::TRangeCast< T, true > TRangeDynCast
TRangeDynCast is an adapter class that allows the typed iteration through a TCollection.
[#0] WARNING:InputArguments -- The parameter 'sigma_g1' with range [-inf, inf] of the RooGaussian 'g1' exceeds the safe range of (0, inf). Advise to limit its range.
[#1] INFO:Fitting -- RooAbsPdf::fitTo(model) fixing normalization set for coefficient determination to observables in data
[#1] INFO:Fitting -- using generic CPU library compiled with no vectorizations
[#1] INFO:Fitting -- Creation of NLL object took 9.13057 ms
[#1] INFO:Fitting -- RooAddition::defaultErrorLevel(nll_model_modelData) Summation contains a RooNLLVar, using its error level
[#1] INFO:Minimization -- RooAbsMinimizerFcn::setOptimizeConst: activating const optimization
[#1] INFO:Minimization -- [fitFCN] No discrete parameters, performing continuous minimization only
[#1] INFO:Minimization -- RooAbsMinimizerFcn::setOptimizeConst: deactivating const optimization
Date
February 2018
Authors
Clemens Lange, Wouter Verkerke (C++ version)

Definition in file rf608_fitresultaspdf.py.