Logo ROOT   6.18/05
Reference Guide
rf211_paramconv.C File Reference

Detailed Description

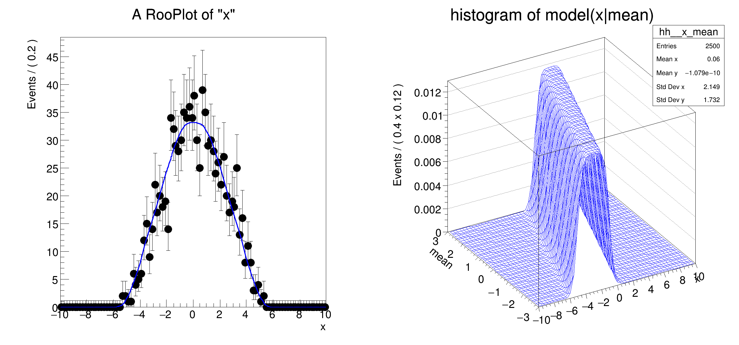
View in nbviewer Open in SWAN Addition and convolution: working with a p.d.f.

with a convolution operator in terms of a parameter

This tutorial requires FFT3 to be enabled.

␛[1mRooFit v3.60 -- Developed by Wouter Verkerke and David Kirkby␛[0m
Copyright (C) 2000-2013 NIKHEF, University of California & Stanford University
All rights reserved, please read http://roofit.sourceforge.net/license.txt
[#1] INFO:Eval -- RooRealVar::setRange(mean) new range named 'refrange_fft_model' created with bounds [-3,3]
[#0] WARNING:Eval -- The FFT convolution 'model' will run with 50 bins. A decent accuracy for difficult convolutions is typically only reached with n >= 1000. Suggest to increase the number of bins of the observable 'mean'.
[#1] INFO:NumericIntegration -- RooRealIntegral::init(gx_Int[mean,x]) using numeric integrator RooIntegrator1D to calculate Int(mean)
[#1] INFO:NumericIntegration -- RooRealIntegral::init(model_mean_Int[mean]) using numeric integrator RooIntegrator1D to calculate Int(mean)
[#1] INFO:Caching -- RooAbsCachedPdf::getCache(model) creating new cache 0x55de6cd8f830 with pdf gx_CONV_model_mean_CACHE_Obs[x,mean] for nset (x,mean) with code 0
[#0] WARNING:Eval -- The FFT convolution 'model' will run with 50 bins. A decent accuracy for difficult convolutions is typically only reached with n >= 1000. Suggest to increase the number of bins of the observable 'mean'.
[#1] INFO:Caching -- RooAbsCachedPdf::getCache(model) creating new cache 0x55de6d6ce030 with pdf gx_CONV_model_mean_CACHE_Obs[x,mean] for nset (x,mean) with code 0 from preexisting content.
[#1] INFO:Minization -- RooMinimizer::optimizeConst: activating const optimization
[#0] WARNING:Minization -- RooMinimizerFcn::synchronize: WARNING: no initial error estimate available for a: using 0.5
[#0] WARNING:Minization -- RooMinimizerFcn::synchronize: WARNING: no initial error estimate available for sigma: using 0.2
**********
** 1 **SET PRINT 1
**********
**********
** 2 **SET NOGRAD
**********
PARAMETER DEFINITIONS:
NO. NAME VALUE STEP SIZE LIMITS
1 a 2.00000e+00 5.00000e-01 1.00000e+00 1.00000e+01
2 sigma 5.00000e-01 2.00000e-01 1.00000e-01 1.00000e+01
**********
** 3 **SET ERR 0.5
**********
**********
** 4 **SET PRINT 1
**********
**********
** 5 **SET STR 1
**********
NOW USING STRATEGY 1: TRY TO BALANCE SPEED AGAINST RELIABILITY
**********
** 6 **MIGRAD 1000 1
**********
FIRST CALL TO USER FUNCTION AT NEW START POINT, WITH IFLAG=4.
prevFCN = 2171.275755 START MIGRAD MINIMIZATION. STRATEGY 1. CONVERGENCE WHEN EDM .LT. 1.00e-03
a=2.012, sigma=0.5, [#1] INFO:NumericIntegration -- RooRealIntegral::init(gx_Int[mean,x]) using numeric integrator RooIntegrator1D to calculate Int(mean)
[#1] INFO:NumericIntegration -- RooRealIntegral::init(model_mean_Int[mean]) using numeric integrator RooIntegrator1D to calculate Int(mean)
prevFCN = 2171.275755 a=1.988,
prevFCN = 2171.275755 a=2.121,
prevFCN = 2171.861215 a=1.886,
prevFCN = 2172.184717 a=2.012,
prevFCN = 2171.275755 a=1.988,
prevFCN = 2171.275755 a=2, sigma=0.5047,
prevFCN = 2171.286528 sigma=0.4953,
prevFCN = 2171.267762 sigma=0.5029,
prevFCN = 2171.281998 sigma=0.4971,
prevFCN = 2171.270547 a=2.012, sigma=0.5,
prevFCN = 2171.275755 a=2.012,
prevFCN = 2171.275755 a=2.012,
prevFCN = 2171.275755 a=2.012,
prevFCN = 2171.275755 a=2.012,
prevFCN = 2171.275755 a=2.012,
prevFCN = 2171.275755 a=2.012,
prevFCN = 2171.275755 a=2.012,
prevFCN = 2171.275755 a=2.012,
prevFCN = 2171.275755 a=2.012,
prevFCN = 2171.275755 a=2.012,
prevFCN = 2171.275755 a=2.121,
prevFCN = 2171.861215 a=1.886,
prevFCN = 2172.184717 a=2.012,
prevFCN = 2171.275755 a=1.988,
prevFCN = 2171.275755 a=2.121,
prevFCN = 2171.861215 a=1.886,
prevFCN = 2172.184717 a=2, sigma=0.5029,
prevFCN = 2171.281998 sigma=0.4971,
prevFCN = 2171.270547 FCN=2171.28 FROM MIGRAD STATUS=INITIATE 29 CALLS 30 TOTAL
EDM= unknown STRATEGY= 1 NO ERROR MATRIX
EXT PARAMETER CURRENT GUESS STEP FIRST
NO. NAME VALUE ERROR SIZE DERIVATIVE
1 a 2.00000e+00 5.00000e-01 0.00000e+00 -3.89301e+00
2 sigma 5.00000e-01 2.00000e-01 0.00000e+00 3.88521e+00
ERR DEF= 0.5
a=2.013, sigma=0.4843,
prevFCN = 2171.259881 a=2.009, sigma=0.4884,
prevFCN = 2171.260992 a=2.025, sigma=0.4843,
prevFCN = 2171.259881 a=2.001,
prevFCN = 2171.259881 a=2.134,
prevFCN = 2171.692149 a=1.898,
prevFCN = 2172.378568 a=2.025,
prevFCN = 2171.259881 a=2.001,
prevFCN = 2171.259881 a=2.013, sigma=0.4871,
prevFCN = 2171.26042 sigma=0.4815,
prevFCN = 2171.260367 MIGRAD MINIMIZATION HAS CONVERGED.
MIGRAD WILL VERIFY CONVERGENCE AND ERROR MATRIX.
sigma=0.4843,
prevFCN = 2171.259881 MINUIT WARNING IN HESSE
============== Second derivative enters zero, param 1
a=2.025,
prevFCN = 2171.259881 a=2.001,
prevFCN = 2171.259881 a=2.134,
prevFCN = 2171.692149 a=1.898,
prevFCN = 2172.378568 a=2.013, sigma=0.4871,
prevFCN = 2171.26042 sigma=0.4815,
prevFCN = 2171.260367 a=2.015, sigma=0.4843,
prevFCN = 2171.259881 a=2.011,
prevFCN = 2171.259881 a=2.013, sigma=0.4848,
prevFCN = 2171.259907 sigma=0.4837,
prevFCN = 2171.259896 a=2.134, sigma=0.4871,
prevFCN = 2171.720718 COVARIANCE MATRIX CALCULATED SUCCESSFULLY
FCN=2171.26 FROM HESSE STATUS=OK 12 CALLS 52 TOTAL
EDM=0.0753125 STRATEGY= 1 ERROR MATRIX ACCURATE
EXT PARAMETER STEP FIRST
NO. NAME VALUE ERROR SIZE DERIVATIVE
1 a 2.01276e+00 1.33301e-01 4.15492e-02 -8.26033e+00
2 sigma 4.84270e-01 1.23533e-01 1.47360e-03 1.78734e-02
ERR DEF= 0.5
a=2.065, sigma=0.4512,
prevFCN = 2171.332894 a=2.03, sigma=0.473,
prevFCN = 2171.26812 a=2.02, sigma=0.4794,
prevFCN = 2171.261381 a=2.016, sigma=0.482,
prevFCN = 2171.260198 a=2.014, sigma=0.4832,
prevFCN = 2171.25995 a=2.014, sigma=0.4837,
prevFCN = 2171.259895 a=2.013, sigma=0.484,
prevFCN = 2171.259883 a=2.013, sigma=0.4841,
prevFCN = 2171.259881 a=2.013, sigma=0.4842,
prevFCN = 2171.25988 a=2.025,
prevFCN = 2171.25988 a=2.001,
prevFCN = 2171.25988 a=2.134,
prevFCN = 2171.691427 a=1.898,
prevFCN = 2172.379556 a=2.025,
prevFCN = 2171.25988 a=2.001,
prevFCN = 2171.25988 a=2.013, sigma=0.487,
prevFCN = 2171.260398 sigma=0.4814,
prevFCN = 2171.260398 MIGRAD MINIMIZATION HAS CONVERGED.
FCN=2171.26 FROM MIGRAD STATUS=CONVERGED 68 CALLS 69 TOTAL
EDM=6.7408e-11 STRATEGY= 1 ERROR MATRIX UNCERTAINTY 75.5 per cent
EXT PARAMETER STEP FIRST
NO. NAME VALUE ERROR SIZE DERIVATIVE
1 a 2.01287e+00 6.17567e-03 3.89434e-05 0.00000e+00
2 sigma 4.84198e-01 8.78354e-02 -3.78079e-05 1.79608e-04
ERR DEF= 0.5
EXTERNAL ERROR MATRIX. NDIM= 25 NPAR= 2 ERR DEF=0.5
3.814e-05 -2.915e-07
-2.915e-07 7.720e-03
PARAMETER CORRELATION COEFFICIENTS
NO. GLOBAL 1 2
1 0.00054 1.000 -0.001
2 0.00054 -0.001 1.000
sigma=0.4842, **********
** 7 **SET ERR 0.5
**********
**********
** 8 **SET PRINT 1
**********
**********
** 9 **HESSE 1000
**********
prevFCN = 2171.25988 MINUIT WARNING IN HESSE
============== Second derivative enters zero, param 1
a=2.025,
prevFCN = 2171.25988 a=2.001,
prevFCN = 2171.25988 a=2.134,
prevFCN = 2171.691427 a=1.898,
prevFCN = 2172.379556 a=2.013, sigma=0.487,
prevFCN = 2171.260398 sigma=0.4814,
prevFCN = 2171.260398 a=2.015, sigma=0.4842,
prevFCN = 2171.25988 a=2.011,
prevFCN = 2171.25988 a=2.013, sigma=0.4848,
prevFCN = 2171.259901 sigma=0.4836,
prevFCN = 2171.259901 sigma=0.4843,
prevFCN = 2171.259881 sigma=0.4841,
prevFCN = 2171.259881 a=2.134, sigma=0.487,
prevFCN = 2171.720107 COVARIANCE MATRIX CALCULATED SUCCESSFULLY
FCN=2171.26 FROM HESSE STATUS=OK 14 CALLS 83 TOTAL
EDM=0.150733 STRATEGY= 1 ERROR MATRIX ACCURATE
EXT PARAMETER INTERNAL INTERNAL
NO. NAME VALUE ERROR STEP SIZE VALUE
1 a 2.01287e+00 1.33303e-01 4.15492e-02 -8.86586e-01
2 sigma 4.84198e-01 1.23531e-01 1.48033e-03 -1.17421e+00
ERR DEF= 0.5
EXTERNAL ERROR MATRIX. NDIM= 25 NPAR= 2 ERR DEF=0.5
1.778e-02 -1.158e-02
-1.158e-02 1.528e-02
PARAMETER CORRELATION COEFFICIENTS
NO. GLOBAL 1 2
1 0.70265 1.000 -0.703
2 0.70265 -0.703 1.000
a=2.013, sigma=0.4842, [#1] INFO:Minization -- RooMinimizer::optimizeConst: deactivating const optimization
[#0] WARNING:Eval -- The FFT convolution 'model' will run with 50 bins. A decent accuracy for difficult convolutions is typically only reached with n >= 1000. Suggest to increase the number of bins of the observable 'mean'.
[#1] INFO:NumericIntegration -- RooRealIntegral::init(gx_Int[mean,x]) using numeric integrator RooIntegrator1D to calculate Int(mean)
[#1] INFO:NumericIntegration -- RooRealIntegral::init(model_mean_Int[mean]) using numeric integrator RooIntegrator1D to calculate Int(mean)
[#1] INFO:Caching -- RooAbsCachedPdf::getCache(model) creating new cache 0x55de6d989290 with pdf gx_CONV_model_mean_CACHE_Obs[x,mean] for nset (x,mean) with code 0
[#0] WARNING:Eval -- The FFT convolution 'model' will run with 50 bins. A decent accuracy for difficult convolutions is typically only reached with n >= 1000. Suggest to increase the number of bins of the observable 'mean'.
[#1] INFO:Caching -- RooAbsCachedPdf::getCache(model) creating new cache 0x55de6d4d41c0 with pdf gx_CONV_model_mean_CACHE_Obs[x,mean] for nset (x) with code 0 from preexisting content.
#include "RooRealVar.h"
#include "RooDataHist.h"
#include "RooGaussian.h"
#include "RooGenericPdf.h"
#include "RooFormulaVar.h"
#include "RooFFTConvPdf.h"
#include "RooPlot.h"
#include "TCanvas.h"
#include "TAxis.h"
#include "TH2.h"
using namespace RooFit;
void rf211_paramconv()
{
// S e t u p c o m p o n e n t p d f s
// ---------------------------------------
// Gaussian g(x ; mean,sigma)
RooRealVar x("x", "x", -10, 10);
RooRealVar mean("mean", "mean", -3, 3);
RooRealVar sigma("sigma", "sigma", 0.5, 0.1, 10);
RooGaussian modelx("gx", "gx", x, mean, sigma);
// Block function in mean
RooRealVar a("a", "a", 2, 1, 10);
RooGenericPdf model_mean("model_mean", "abs(mean)<a", RooArgList(mean, a));
// Convolution in mean parameter model = g(x,mean,sigma) (x) block(mean)
x.setBins(1000, "cache");
mean.setBins(50, "cache");
RooFFTConvPdf model("model", "model", mean, modelx, model_mean);
// Configure convolution to construct a 2-D cache in (x,mean)
// rather than a 1-d cache in mean that needs to be recalculated
// for each value of x
model.setCacheObservables(x);
model.setBufferFraction(1.0);
// Integrate model over mean projModel = Int model dmean
RooAbsPdf *projModel = model.createProjection(mean);
// Generate 1000 toy events
RooDataHist *d = projModel->generateBinned(x, 1000);
// Fit p.d.f. to toy data
projModel->fitTo(*d, Verbose());
// Plot data and fitted p.d.f.
RooPlot *frame = x.frame(Bins(25));
d->plotOn(frame);
projModel->plotOn(frame);
// Make 2d histogram of model(x;mean)
TH1 *hh = model.createHistogram("hh", x, Binning(50), YVar(mean, Binning(50)), ConditionalObservables(mean));
hh->SetTitle("histogram of model(x|mean)");
// Draw frame on canvas
TCanvas *c = new TCanvas("rf211_paramconv", "rf211_paramconv", 800, 400);
c->Divide(2);
c->cd(1);
gPad->SetLeftMargin(0.15);
frame->GetYaxis()->SetTitleOffset(1.4);
frame->Draw();
c->cd(2);
gPad->SetLeftMargin(0.20);
hh->GetZaxis()->SetTitleOffset(2.5);
hh->Draw("surf");
}
#define d(i)
Definition: RSha256.hxx:102
#define c(i)
Definition: RSha256.hxx:101
@ kBlue
Definition: Rtypes.h:64
#define gPad
Definition: TVirtualPad.h:286
virtual RooFitResult * fitTo(RooAbsData &data, const RooCmdArg &arg1=RooCmdArg::none(), const RooCmdArg &arg2=RooCmdArg::none(), const RooCmdArg &arg3=RooCmdArg::none(), const RooCmdArg &arg4=RooCmdArg::none(), const RooCmdArg &arg5=RooCmdArg::none(), const RooCmdArg &arg6=RooCmdArg::none(), const RooCmdArg &arg7=RooCmdArg::none(), const RooCmdArg &arg8=RooCmdArg::none())
Fit PDF to given dataset.
Definition: RooAbsPdf.cxx:1119
virtual RooDataHist * generateBinned(const RooArgSet &whatVars, Double_t nEvents, const RooCmdArg &arg1, const RooCmdArg &arg2=RooCmdArg::none(), const RooCmdArg &arg3=RooCmdArg::none(), const RooCmdArg &arg4=RooCmdArg::none(), const RooCmdArg &arg5=RooCmdArg::none())
As RooAbsPdf::generateBinned(const RooArgSet&, const RooCmdArg&,const RooCmdArg&, const RooCmdArg&,...
Definition: RooAbsPdf.h:105
virtual RooAbsPdf * createProjection(const RooArgSet &iset)
Return a p.d.f that represent a projection of this p.d.f integrated over given observables.
Definition: RooAbsPdf.cxx:2979
virtual RooPlot * plotOn(RooPlot *frame, const RooCmdArg &arg1=RooCmdArg::none(), const RooCmdArg &arg2=RooCmdArg::none(), const RooCmdArg &arg3=RooCmdArg::none(), const RooCmdArg &arg4=RooCmdArg::none(), const RooCmdArg &arg5=RooCmdArg::none(), const RooCmdArg &arg6=RooCmdArg::none(), const RooCmdArg &arg7=RooCmdArg::none(), const RooCmdArg &arg8=RooCmdArg::none(), const RooCmdArg &arg9=RooCmdArg::none(), const RooCmdArg &arg10=RooCmdArg::none()) const
Helper calling plotOn(RooPlot*, RooLinkedList&) const.
Definition: RooAbsPdf.h:119
RooArgList is a container object that can hold multiple RooAbsArg objects.
Definition: RooArgList.h:21
The RooDataHist is a container class to hold N-dimensional binned data.
Definition: RooDataHist.h:40
PDF for the numerical (FFT) convolution of two PDFs.
Definition: RooFFTConvPdf.h:26
Plain Gaussian p.d.f.
Definition: RooGaussian.h:25
RooGenericPdf is a concrete implementation of a probability density function, which takes a RooArgLis...
Definition: RooGenericPdf.h:25
A RooPlot is a plot frame and a container for graphics objects within that frame.
Definition: RooPlot.h:41
TAxis * GetYaxis() const
Definition: RooPlot.cxx:1123
virtual void Draw(Option_t *options=0)
Draw this plot and all of the elements it contains.
Definition: RooPlot.cxx:558
RooRealVar represents a fundamental (non-derived) real valued object.
Definition: RooRealVar.h:36
virtual void SetTitleOffset(Float_t offset=1)
Set distance between the axis and the axis title Offset is a correction factor with respect to the "s...
Definition: TAttAxis.cxx:294
virtual void SetLineColor(Color_t lcolor)
Set the line color.
Definition: TAttLine.h:40
The Canvas class.
Definition: TCanvas.h:31
The TH1 histogram class.
Definition: TH1.h:56
virtual void SetTitle(const char *title)
See GetStatOverflows for more information.
Definition: TH1.cxx:6309
TAxis * GetZaxis()
Definition: TH1.h:318
virtual void Draw(Option_t *option="")
Draw this histogram with options.
Definition: TH1.cxx:2981
const Double_t sigma
Double_t x[n]
Definition: legend1.C:17
Template specialisation used in RooAbsArg:
RooCmdArg Binning(const RooAbsBinning &binning)
RooCmdArg YVar(const RooAbsRealLValue &var, const RooCmdArg &arg=RooCmdArg::none())
RooCmdArg ConditionalObservables(const RooArgSet &set)
RooCmdArg Verbose(Bool_t flag=kTRUE)
RooCmdArg Bins(Int_t nbin)
auto * a
Definition: textangle.C:12
Author
04/2009 - Wouter Verkerke

Definition in file rf211_paramconv.C.