Logo ROOT   6.07/09
Reference Guide
multipalette.C File Reference

Detailed Description

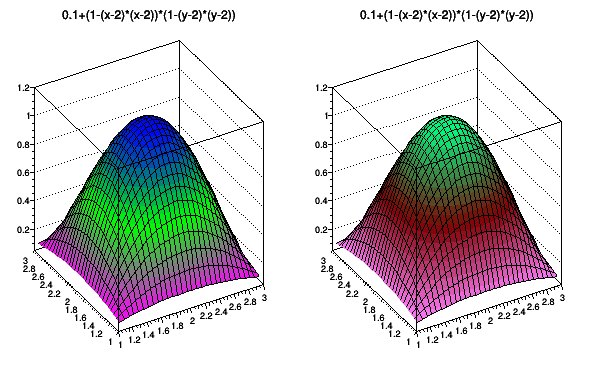
View in nbviewer Open in SWAN Draw color plots using different color palettes.

pict1_multipalette.C.png
#include "TStyle.h"
#include "TColor.h"
#include "TF2.h"
#include "TExec.h"
#include "TCanvas.h"
void Pal1()
{
static Int_t colors[50];
static Bool_t initialized = kFALSE;
Double_t Red[3] = { 1.00, 0.00, 0.00};
Double_t Green[3] = { 0.00, 1.00, 0.00};
Double_t Blue[3] = { 1.00, 0.00, 1.00};
Double_t Length[3] = { 0.00, 0.50, 1.00 };
if(!initialized){
Int_t FI = TColor::CreateGradientColorTable(3,Length,Red,Green,Blue,50);
for (int i=0; i<50; i++) colors[i] = FI+i;
initialized = kTRUE;
return;
}
gStyle->SetPalette(50,colors);
}
void Pal2()
{
static Int_t colors[50];
static Bool_t initialized = kFALSE;
Double_t Red[3] = { 1.00, 0.50, 0.00};
Double_t Green[3] = { 0.50, 0.00, 1.00};
Double_t Blue[3] = { 1.00, 0.00, 0.50};
Double_t Length[3] = { 0.00, 0.50, 1.00 };
if(!initialized){
Int_t FI = TColor::CreateGradientColorTable(3,Length,Red,Green,Blue,50);
for (int i=0; i<50; i++) colors[i] = FI+i;
initialized = kTRUE;
return;
}
gStyle->SetPalette(50,colors);
}
TCanvas *multipalette() {
TCanvas *c3 = new TCanvas("c3","C3",0,0,600,400);
c3->Divide(2,1);
TF2 *f3 = new TF2("f3","0.1+(1-(x-2)*(x-2))*(1-(y-2)*(y-2))",1,3,1,3);
f3->SetLineWidth(1);
c3->cd(1);
f3->Draw("surf1");
TExec *ex1 = new TExec("ex1","Pal1();");
ex1->Draw();
f3->Draw("surf1 same");
c3->cd(2);
f3->Draw("surf1");
TExec *ex2 = new TExec("ex2","Pal2();");
ex2->Draw();
f3->Draw("surf1 same");
return c3;
}
Author
Olivier Couet

Definition in file multipalette.C.