// @(#)root/graf:$Name:  $:$Id: TLatex.cxx,v 1.53 2005/11/18 16:55:07 couet Exp $
// Author: Nicolas Brun   07/08/98

/*************************************************************************
 * Copyright (C) 1995-2000, Rene Brun and Fons Rademakers.               *
 * All rights reserved.                                                  *
 *                                                                       *
 * For the licensing terms see $ROOTSYS/LICENSE.                         *
 * For the list of contributors see $ROOTSYS/README/CREDITS.             *
 *************************************************************************/

#include "Riostream.h"
#include "TLatex.h"
#include "TVirtualPad.h"
#include "TVirtualPS.h"

#ifdef R__SUNCCBUG
const Double_t kPI = 3.14159265358979323846;
#else
const Double_t kPI = TMath::Pi();
#endif
const Int_t kLatex      = BIT(10);
const Int_t kPrintingPS = BIT(11); //set in TPad.h

ClassImp(TLatex)


//______________________________________________________________________________
//
//   TLatex : to draw Mathematical Formula
//
//   This class has been implemented by 
Nicolas Brun
.
//   ========================================================
//
//   TLatex's purpose is to write mathematical equations
//   The syntax is very similar to the Latex one :
//
//   ** Subscripts and Superscripts
//   ------------------------------
//   Subscripts and superscripts are made with the _ and ^ commands.  These commands
//   can be combined to make complicated subscript and superscript expressions.
//   You may choose how to display subscripts and superscripts using the 2 functions
//   SetindiceSize(Double_t) and SetLimitindiceSize(Int_t).
//
/*p */ //

//
//   ** Fractions
//   ------------
//   Fractions denoted by the / symbol are made in the obvious way.
//   The #frac command is used for large fractions in displayed formula; it has
//   two arguments: the numerator and the denominator.
//
/* */ //

//
//   ** splitting a line in two lines
//   --------------------------------
//   A text can be split in two lines via the command #splitline
//   For example #splitline{"21 April 2003}{14:02:30}
//
//   ** Roots
//   --------
//   The #sqrt command produces the square root of its argument; it has an optional
//   first argument for other roots.
//   ex: #sqrt{10}  #sqrt[3]{10}
//
//   ** Mathematical Symbols
//   -----------------------
//   TLatex can make dozens of special mathematical symbols. A few of them, such as
//   + and > , are produced by typing the corresponding keyboard character.  Others
//   are obtained with the commands in the following table :
//
/* */ //

//    #Box draw a square
//
//   ** Delimiters
//   -------------
//   You can produce 4 kinds of proportional delimiters.
//   #[]{....} or "a la" Latex #left[.....#right] : big square brackets
//   #{}{....} or              #left{.....#right} : big curly brackets
//   #||{....} or              #left|.....#right| : big absolute value symbol
//   #(){....} or              #left(.....#right) : big parenthesis
//
//   ** Greek Letters
//   ----------------
//   The command to produce a lowercase Greek letter is obtained by adding a # to
//   the name of the letter. For an uppercase Greek letter, just capitalize the first
//   letter of the command name. Some letter have two representations. The name of the
//   second one (the "variation") starts with "var".
//   #alpha #beta #chi #delta #varepsilon #phi #gamma #eta #iota #varphi #kappa #lambda
//   #mu #nu #omicron #pi #theta #rho #sigma #tau #upsilon #varomega #omega #xi #psi #zeta
//   #Alpha #Beta #Chi #Delta #Epsilon #Phi #Gamma #Eta #Iota #vartheta
//   #Kappa #Lambda #Mu #Nu #Omicron #Pi #Theta #Rho #Sigma #Tau
//   #Upsilon #varsigma #Omega #Xi #Psi #Zeta #varUpsilon #epsilon
//
/* */ //

//
//   ** Putting One Thing Above Another
//   ----------------------------------
//   Symbols in a formula are sometimes placed on above another. TLatex provides
//   special commands for doing this.
//
//   ** Accents
//   ----------
//    #hat{a} = hat
//    #check  = inversed hat
//    #acute  = acute
//    #grave  = agrave
//    #dot    = derivative
//    #ddot   = double derivative
//    #tilde  = tilde
//
//    #slash special sign. Draw a slash on top of the text between brackets
//   for example #slash{E}_{T}  generates "Missing ET"
//
//
/* */ //

//   #dot  #ddot  #hat  #check  #acute  #grave  #tilde
//
//   ** Changing Style in Math Mode
//   ------------------------------
//   You can change the font and the text color at any moment using :
//   #font[font-number]{...} and #color[color-number]{...}
//
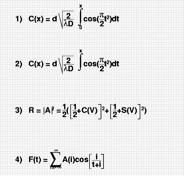
//   ** Example1
//   -----------
//     The following macro (tutorials/latex.C) produces the following picture:
//  {
//     gROOT->Reset();
//     TCanvas c1("c1","Latex",600,700);
//     TLatex l;
//     l.SetTextAlign(12);
//     l.SetTextSize(0.04);
//     l.DrawLatex(0.1,0.8,"1)   C(x) = d #sqrt{#frac{2}{#lambdaD}}  #int^{x}_{0}cos(#frac{#pi}{2}t^{2})dt");
//     l.DrawLatex(0.1,0.6,"2)   C(x) = d #sqrt{#frac{2}{#lambdaD}}  #int^{x}cos(#frac{#pi}{2}t^{2})dt");
//     l.DrawLatex(0.1,0.4,"3)   R = |A|^{2} = #frac{1}{2}(#[]{#frac{1}{2}+C(V)}^{2}+#[]{#frac{1}{2}+S(V)}^{2})");
//     l.DrawLatex(0.1,0.2,"4)   F(t) = #sum_{i=-#infty}^{#infty}A(i)cos#[]{#frac{i}{t+i}}");
//  }
//
/* */ //

//
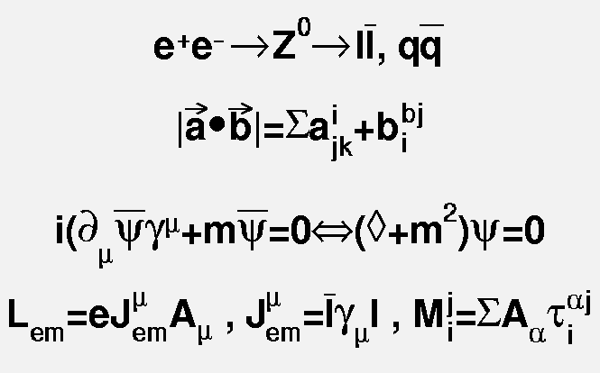
//   ** Example2
//   -----------
//     The following macro (tutorials/latex2.C) produces the following picture:
//  {
//     gROOT->Reset();
//     TCanvas c1("c1","Latex",600,700);
//     TLatex l;
//     l.SetTextAlign(23);
//     l.SetTextSize(0.1);
//     l.DrawLatex(0.5,0.95,"e^{+}e^{-}#rightarrowZ^{0}#rightarrowI#bar{I}, q#bar{q}");
//     l.DrawLatex(0.5,0.75,"|#vec{a}#bullet#vec{b}|=#Sigmaa^{i}_{jk}+b^{bj}_{i}");
//     l.DrawLatex(0.5,0.5,"i(#partial_{#mu}#bar{#psi}#gamma^{#mu}+m#bar{#psi}=0#Leftrightarrow(#Box+m^{2})#psi=0");
//     l.DrawLatex(0.5,0.3,"L_{em}=eJ^{#mu}_{em}A_{#mu} , J^{#mu}_{em}=#bar{I}#gamma_{#mu}I , M^{j}_{i}=#SigmaA_{#alpha}#tau^{#alphaj}_{i}");
//  }
//
/* */ //

//
//   ** Example3
//   -----------
//     The following macro (tutorials/latex3.C) produces the following picture:
//  {
//     gROOT->Reset();
//   TCanvas c1("c1");
//   TPaveText pt(.1,.5,.9,.9);
//   pt.AddText("#frac{2s}{#pi#alpha^{2}}  #frac{d#sigma}{dcos#theta} (e^{+}e^{-} #rightarrow f#bar{f} ) = ");
//   pt.AddText("#left| #frac{1}{1 - #Delta#alpha} #right|^{2} (1+cos^{2}#theta");
//   pt.AddText("+ 4 Re #left{ #frac{2}{1 - #Delta#alpha} #chi(s) #[]{#hat{g}_{#nu}^{e}#hat{g}_{#nu}^{f}
//    (1 + cos^{2}#theta) + 2 #hat{g}_{a}^{e}#hat{g}_{a}^{f} cos#theta) } #right}");
//   pt.SetLabel("Born equation");
//   pt.Draw();
//  }
//
/* */ //

//
//   ** Alignment rules
//   ------------------
//  The TText alignment rules apply to the TLatex objects with one exception
//  concerning the vertical alignment:
//  If the vertical alignment = 1 , subscripts are not taken into account
//  if the vertical alignment = 0 , the text is aligned to the box surrounding
//                                  the full text with sub and superscripts
//  This is illustrated in the following example:
//
//{
//  gROOT->Reset();
//  TCanvas c1("c1","c1",600,500);
//  c1.SetGrid();
//  c1.DrawFrame(0,0,1,1);
//  const char *longstring = "K_{S}... K^{*0}... #frac{2s}{#pi#alpha^{2}}
// #frac{d#sigma}{dcos#theta} (e^{+}e^{-} #rightarrow f#bar{f} ) =
// #left| #frac{1}{1 - #Delta#alpha} #right|^{2} (1+cos^{2}#theta)";
//
//  TLatex latex;
//  latex.SetTextSize(0.033);
//  latex.SetTextAlign(13);  //align at top
//  latex.DrawLatex(.2,.9,"K_{S}");
//  latex.DrawLatex(.3,.9,"K^{*0}");
//  latex.DrawLatex(.2,.8,longstring);
//
//  latex.SetTextAlign(12);  //centered
//  latex.DrawLatex(.2,.6,"K_{S}");
//  latex.DrawLatex(.3,.6,"K^{*0}");
//  latex.DrawLatex(.2,.5,longstring);
//
//  latex.SetTextAlign(11);  //default bottom alignment
//  latex.DrawLatex(.2,.4,"K_{S}");
//  latex.DrawLatex(.3,.4,"K^{*0}");
//  latex.DrawLatex(.2,.3,longstring);
//
//  latex.SetTextAlign(10);  //special bottom alignment
//  latex.DrawLatex(.2,.2,"K_{S}");
//  latex.DrawLatex(.3,.2,"K^{*0}");
//  latex.DrawLatex(.2,.1,longstring);
//
//  latex.SetTextAlign(12);
//  latex->SetTextFont(72);
//  latex->DrawLatex(.1,.80,"13");
//  latex->DrawLatex(.1,.55,"12");
//  latex->DrawLatex(.1,.35,"11");
//  latex->DrawLatex(.1,.18,"10");
//}
//
/* */ //

//______________________________________________________________________________


//______________________________________________________________________________
 TLatex::TLatex()
{
   // Default constructor.

   fFactorSize  = 1.5;
   fFactorPos   = 0.6;
   fLimitFactorSize = 3;
   fError       = 0;
   fShow        = kFALSE;
   fPos=fTabMax = 0;
   fOriginSize  = 0.04;
   fTabSize     = 0;
   SetLineWidth(2);
}


//______________________________________________________________________________
 TLatex::TLatex(Double_t x, Double_t y, const char *text)
       :TText(x,y,text)
{
   // Normal constructor.

   fFactorSize  = 1.5;
   fFactorPos   = 0.6;
   fLimitFactorSize = 3;
   fError       = 0;
   fShow        = kFALSE;
   fPos=fTabMax = 0;
   fOriginSize  = 0.04;
   fTabSize     = 0;
   SetLineWidth(2);
}


//______________________________________________________________________________
 TLatex::~TLatex()
{
   // Destructor.
}


//______________________________________________________________________________
 TLatex::TLatex(const TLatex &text) : TText(text), TAttLine(text)
{
   // Copy constructor.

   ((TLatex&)text).Copy(*this);
}


//______________________________________________________________________________
 void TLatex::Copy(TObject &obj) const
{
   // Copy this TLatex object to another TLatex.

   ((TLatex&)obj).fFactorSize  = fFactorSize;
   ((TLatex&)obj).fFactorPos   = fFactorPos;
   ((TLatex&)obj).fLimitFactorSize  = fLimitFactorSize;
   ((TLatex&)obj).fError       = fError;
   ((TLatex&)obj).fShow        = fShow;
   ((TLatex&)obj).fTabSize     = 0;
   ((TLatex&)obj).fOriginSize  = fOriginSize;
   ((TLatex&)obj).fTabMax      = fTabMax;
   ((TLatex&)obj).fPos         = fPos;
   TText::Copy(obj);
   TAttLine::Copy(((TAttLine&)obj));
}


//______________________________________________________________________________
 TLatexFormSize TLatex::Anal1(TextSpec_t spec, const Char_t* t, Int_t length)
{
   // Analyse function.

   return Analyse(0,0,spec,t,length);
}


//______________________________________________________________________________
 TLatexFormSize TLatex::Analyse(Double_t x, Double_t y, TextSpec_t spec, const Char_t* t, Int_t length)
{
   //  Analyse and paint the TLatex formula
   //
   //  It is called twice : first for calculating the size of
   //  each portion of the formula, then to paint the formula.
   //  When analyse finds an operator or separator, it calls
   //  itself recursively to analyse the arguments of the operator.
   //  when the argument is an atom (normal text), it calculates
   //  the size of it and return it as the result.
   //  for example : if the operator #frac{arg1}{arg2} is found :
   //  Analyse(arg1) return the size of arg1 (width, up, down)
   //  Analyse(arg2) return the size of arg2
   //  now, we know the size of #frac{arg1}{arg2}  :
   //  width = max(width_arg1, width_arg2)
   //  up = up_arg1 + down_arg1
   //  down = up_arg2 + down_arg2
   //  so, when the user wants to paint a fraction at position (x,y),
   //  the rect used for the formula is : (x,y-up,x+width,y+down)
   //
   // return size of zone occupied by the text/formula
   // t : chain to be analyzed
   // length : number of chars in t.

   const char *tab[] = { "alpha","beta","chi","delta","varepsilon","phi","gamma","eta","iota","varphi","kappa","lambda",
                "mu","nu","omicron","pi","theta","rho","sigma","tau","upsilon","varomega","omega","xi","psi","zeta",
                "Alpha","Beta","Chi","Delta","Epsilon","Phi","Gamma","Eta","Iota","vartheta",
                "Kappa","Lambda","Mu","Nu","Omicron","Pi","Theta","Rho","Sigma","Tau",
                "Upsilon","varsigma","Omega","Xi","Psi","Zeta","varUpsilon","epsilon"};

   const char *tab2[] = { "leq","/","infty","voidb","club","diamond","heart",
                 "spade","leftrightarrow","leftarrow","uparrow","rightarrow",
                 "downarrow","circ","pm","doublequote","geq","times","propto",
                 "partial","bullet","divide","neq","equiv","approx","3dots",
                 "cbar","topbar","downleftarrow","aleph","Jgothic","Rgothic","voidn",
                 "otimes","oplus","oslash","cap","cup","supset","supseteq",
                 "notsubset","subset","subseteq","in","notin","angle","nabla",
                 "oright","ocopyright","trademark","prod","surd","upoint","corner","wedge",
                 "vee","Leftrightarrow","Leftarrow","Uparrow","Rightarrow",
                 "Downarrow","diamond","LT","void1","copyright","void3","sum",
                 "arctop","lbar","arcbottom","topbar","void8", "bottombar","arcbar",
                 "ltbar","AA","aa","void06","GT","int" };

   const char *tab3[] = { "bar","vec","dot","hat","ddot","acute","grave","check","tilde","slash"};

   if (fError != 0) return TLatexFormSize(0,0,0);

   Int_t nBlancDeb=0,nBlancFin=0,l_nBlancDeb=0,l_nBlancFin=0;
   Int_t i,k;
   Int_t min=0, max=0;
   Bool_t cont = kTRUE;
   while(cont) {
      // count leading blanks
      //while(nBlancDeb+nBlancFin<length && t[nBlancDeb]==' ') nBlancDeb++;

      if (nBlancDeb==length) return TLatexFormSize(0,0,0); // empty string

      // count trailing blanks
      //while(nBlancDeb+nBlancFin<length && t[length-nBlancFin-1]==' ') nBlancFin++;

      if (nBlancDeb==l_nBlancDeb && nBlancFin==l_nBlancFin) cont = kFALSE;

      // remove characters { }
      if (t[nBlancDeb]=='{' && t[length-nBlancFin-1]=='}') {
         Int_t nBrackets = 0;
         Bool_t sameBrackets = kTRUE;
         for(i=nBlancDeb;i<length-nBlancFin;i++) {
            if (t[i] == '{' && !(i>0 && t[i-1] == '@')) nBrackets++;
            if (t[i] == '}' && t[i-1]!= '@') nBrackets--;
            if (nBrackets==0 && i<length-nBlancFin-2) {
               sameBrackets=kFALSE;
               break;
            }
         }

         if (sameBrackets) {
            // begin and end brackets match
            nBlancDeb++;
            nBlancFin++;
            if (nBlancDeb+nBlancFin==length) return TLatexFormSize(0,0,0); // empty string
            cont = kTRUE;
         }

      }

      l_nBlancDeb = nBlancDeb;
      l_nBlancFin = nBlancFin;
   }

   // make a copy of the current processed chain of characters
   // removing leading and trailing blanks
   length -= nBlancFin+nBlancDeb; // length of string without blanks
   Char_t* text = new Char_t[length+1];
   strncpy(text,t+nBlancDeb,length);
   text[length] = 0;

   // compute size of subscripts and superscripts
   Double_t indiceSize = spec.fSize/fFactorSize;
   if(indiceSize<fOriginSize/TMath::Exp(fLimitFactorSize*TMath::Log(fFactorSize))-0.001f)
      indiceSize = spec.fSize;
   // substract 0.001 because of rounding errors
   TextSpec_t specNewSize = spec;
   specNewSize.fSize       = indiceSize;

   // recherche des operateurs
   Int_t opPower         = -1;   // Position of first ^ (power)
   Int_t opUnder         = -1;   // Position of first _ (indice)
   Int_t opFrac          = -1;   // Position of first \frac
   Int_t opSqrt          = -1;   // Position of first \sqrt
   Int_t nBrackets      = 0;    // Nesting level in { }
   Int_t nCroch         = 0;    // Nesting level in [ ]
   Int_t opCurlyCurly    = -1;   // Position of first }{
   Int_t opSquareCurly   = -1;   // Position of first ]{
   Int_t opCloseCurly    = -2;   // Position of first }
   Int_t opColor         = -1;   // Position of first \color
   Int_t opFont          = -1;   // Position of first \font
   Int_t opGreek         = -1;   // Position of a Greek letter
   Int_t opSpec          = -1;   // position of a special character
   Int_t opAbove         = -1;   // position of a vector/overline
   Int_t opSquareBracket = 0 ;   // position of a "[]{" operator (#[]{arg})
   Int_t opBigCurly      = 0 ;   // position of a "{}{" operator (big curly bracket #{}{arg})
   Int_t opAbs           = 0 ;   // position of a "||{" operator (absolute value) (#||{arg})
   Int_t opParen         = 0 ;   // position of a "(){" operator (big parenthesis #(){arg})
   Int_t abovePlace      = 0 ;   // true if subscripts must be written above and not after
   Int_t opBox           = 0 ;   // position of #Box
   Int_t opPerp           = 0;    // position of #perp
   Int_t opOdot          = 0;    // position of #odot
   Int_t opParallel       = 0;    // position of #parallel
   Int_t opSplitLine     = -1;   // Position of first \splitline
   Bool_t opFound = kFALSE;
   Bool_t quote1 = kFALSE, quote2 = kFALSE ;

   for(i=0;i<length;i++) {
      switch (text[i]) {
         case '\'' : quote1 = !quote1 ; break ;
         case '"'  : quote2  = !quote2 ; break ;
      }
      //if (quote1 || quote2) continue ;
      switch (text[i]) {
         case '{':
            if (nCroch==0) {
               if (!(i>0 && text[i-1] == '@')) nBrackets++;
            }
            break;
         case '}':
            if (nCroch==0) {
               if (!(i>0 && text[i-1] == '@')) nBrackets--;
               if (nBrackets==0) {
                  if (i<length-1) if (text[i+1]=='{' && opCurlyCurly==-1) opCurlyCurly=i;
                  if (i<length-2) {
                     if (text[i+1]!='{' && !(text[i+2]=='{' && (text[i+1]=='^' || text[i+1]=='_'))
                     && opCloseCurly==-2) opCloseCurly=i;
                  }
                  else if (i<length-1) {
                     if (text[i+1]!='{' && opCloseCurly==-2) opCloseCurly=i;
                  }
                  else if (opCloseCurly==-2) opCloseCurly=i;
               }
            }
            break;
         case '[':
            if (nBrackets==0) {
               if (!(i>0 && text[i-1] == '@')) nCroch++;
            }
            break;
         case ']':
            if (nBrackets==0) {
               if (!(i>0 && text[i-1] == '@')) nCroch--;
               if (nCroch<0) {
                  // more "]" than "["
                  fError = "Missing \"[\"";
                  return TLatexFormSize(0,0,0);
               }
            }
            break;
      }
      if (length>i+1) {
         Char_t buf[2];
         strncpy(buf,&text[i],2);
         if (strncmp(buf,"^{",2)==0) {
            if (opPower==-1 && nBrackets==0 && nCroch==0) opPower=i;
            if (i>3) {
               Char_t buf[4];
               strncpy(buf,&text[i-4],4);
               if (strncmp(buf,"#int",4)==0) abovePlace = 1;
               if (strncmp(buf,"#sum",4)==0) abovePlace = 2;
            }
         }
         if (strncmp(buf,"_{",2)==0) {
            if (opUnder==-1 && nBrackets==0 && nCroch==0) opUnder=i;
            if (i>3) {
               Char_t buf[4];
               strncpy(buf,&text[i-4],4);
               if (strncmp(buf,"#int",4)==0) abovePlace = 1;
               if (strncmp(buf,"#sum",4)==0) abovePlace = 2;
            }
         }
         if (strncmp(buf,"]{",2)==0)
            if (opSquareCurly==-1 && nBrackets==0 && nCroch==0) opSquareCurly=i;
      }
      // detect other operators
      if (text[i]=='\\' || text[i]=='#' && !opFound && nBrackets==0 && nCroch==0) {

         if (length>i+10 ) {
            Char_t buf[10];
            strncpy(buf,&text[i+1],10);
            if (strncmp(buf,"splitline{",10)==0) {
               opSplitLine=i; opFound = kTRUE;
               if (i>0 && opCloseCurly==-2) opCloseCurly=i-1;
               continue;
            }
         }
         if (length>i+8 ) {
            Char_t buf[8];
            strncpy(buf,&text[i+1],8);
            if (!opParallel && strncmp(buf,"parallel",8)==0) {
               opParallel=1; opFound = kTRUE;
               if (i>0 && opCloseCurly==-2) opCloseCurly=i-1;
               continue;
            }
         }
         if (length>i+6) {
            Char_t buf[6];
            strncpy(buf,&text[i+1],6);
            if (strncmp(buf,"color[",6)==0 || strncmp(buf,"color{",6)==0) {
               opColor=i; opFound = kTRUE;
               if (i>0 && opCloseCurly==-2) opCloseCurly=i-1;
               continue ;
            }
         }
         if (length>i+5 ) {
            Char_t buf[5];
            strncpy(buf,&text[i+1],5);
            if (strncmp(buf,"frac{",5)==0) {
               opFrac=i; opFound = kTRUE;
               if (i>0 && opCloseCurly==-2) opCloseCurly=i-1;
               continue;
            }
            if (strncmp(buf,"sqrt{",5)==0 || strncmp(buf,"sqrt[",5)==0) {
               opSqrt=i; opFound = kTRUE;
               if (i>0 && opCloseCurly==-2) opCloseCurly=i-1;
               continue;
            }
            if (strncmp(buf,"font{",5)==0 || strncmp(buf,"font[",5)==0) {
               opFont=i; opFound = kTRUE;
               if (i>0 && opCloseCurly==-2) opCloseCurly=i-1;
               continue;
            }
         }
         if (length>i+4 ) {
            Char_t buf[4];
            strncpy(buf,&text[i+1],4);
            if (!opOdot && strncmp(buf,"odot",4)==0) {
               opOdot=1; opFound = kTRUE;
               if (i>0 && opCloseCurly==-2) opCloseCurly=i-1;
               continue;
            }
            if (!opPerp && strncmp(buf,"perp",4)==0) {
               opPerp=1; opFound = kTRUE;
               if (i>0 && opCloseCurly==-2) opCloseCurly=i-1;
               continue;
            }
         }
         if (length>i+3) {
            Char_t buf[3];
            strncpy(buf,&text[i+1],3);
            if (strncmp(buf,"[]{",3)==0) {
               opSquareBracket=1; opFound = kTRUE;
               if (i>0 && opCloseCurly==-2) opCloseCurly=i-1;
               continue;
            }
            if (strncmp(buf,"{}{",3)==0 ) {
               opBigCurly=1; opFound = kTRUE;
               if (i>0 && opCloseCurly==-2) opCloseCurly=i-1;
               continue;
            }
            if (strncmp(buf,"||{",3)==0) {
               opAbs=1; opFound = kTRUE;
               if (i>0 && opCloseCurly==-2) opCloseCurly=i-1;
               continue;
            }
            if (strncmp(buf,"(){",3)==0) {
               opParen=1; opFound = kTRUE;
               if (i>0 && opCloseCurly==-2) opCloseCurly=i-1;
               continue;
            }
            if (!opBox && strncmp(buf,"Box",3)==0) {
               opBox=1; opFound = kTRUE;
               if (i>0 && opCloseCurly==-2) opCloseCurly=i-1;
               continue;
            }
         }
         for(k=0;k<54;k++) {
            if (!opFound && UInt_t(length)>i+strlen(tab[k])) {
               if (strncmp(&text[i+1],tab[k],strlen(tab[k]))==0) {
                  opGreek=k;
                  opFound = kTRUE;
                  if (i>0 && opCloseCurly==-2) opCloseCurly=i-1;
               }
            }
         }
         for(k=0;k<10;k++) {
            if (!opFound && UInt_t(length)>i+strlen(tab3[k])) {
               if (strncmp(&text[i+1],tab3[k],strlen(tab3[k]))==0) {
                  opAbove=k;
                  opFound = kTRUE;
                  if (i>0 && opCloseCurly==-2) opCloseCurly=i-1;
               }
            }
         }
         UInt_t lastsize = 0;
         if (!opFound)
         for(k=0;k<80;k++) {
            if ((opSpec==-1 || strlen(tab2[k])>lastsize) && UInt_t(length)>i+strlen(tab2[k])) {
               if (strncmp(&text[i+1],tab2[k],strlen(tab2[k]))==0) {
                  lastsize = strlen(tab2[k]);
                  opSpec=k;
                  opFound = kTRUE;
                  if (i>0 && opCloseCurly==-2) opCloseCurly=i-1;
               }
            }
         }
      }
   }

   TLatexFormSize fs1;
   TLatexFormSize fs2;
   TLatexFormSize fs3;
   TLatexFormSize result;

   // analysis of operators found
   if (opCloseCurly>-1 && opCloseCurly<length-1) { // separator } found
      if(!fShow) {
         fs1 = Anal1(spec,text,opCloseCurly+1);
         fs2 = Anal1(spec,text+opCloseCurly+1,length-opCloseCurly-1);
         Savefs(&fs1);
      } else {
         fs1 = Readfs();
         Analyse(x+fs1.Width(),y,spec,text+opCloseCurly+1,length-opCloseCurly-1);
         Analyse(x,y,spec,text,opCloseCurly+1);
      }
      result = fs1+fs2;
   }

   else if (opPower>-1 && opUnder>-1) { // ^ and _ found
      min = TMath::Min(opPower,opUnder);
      max = TMath::Max(opPower,opUnder);
      Double_t xfpos = 0. ; //GetHeight()*spec.fSize/5.;
      Double_t prop=1, propU=1; // scale factor for #sum & #int
      switch (abovePlace) {
         case 1 :
            prop = .8 ; propU = 1.75 ; // Int
            break;
         case 2:
            prop = .9 ; propU = 1.75 ; // Sum
            break;
      }
     // propU acts on upper number
     // when increasing propU value, the upper indice position is higher
     // when increasing prop values, the lower indice position is lower

      if (!fShow) {
         Int_t ltext = min ;
         if (min >= 2 && strncmp(&text[min-2],"{}",2)==0) {
            // upper and lower indice before the character
            // like with chemical element
            sprintf(&text[ltext-2],"I ") ;
            ltext-- ;
         }
         fs1 = Anal1(spec,text,ltext);
         fs2 = Anal1(specNewSize,text+min+1,max-min-1);
         fs3 = Anal1(specNewSize,text+max+1,length-max-1);
         Savefs(&fs1);
         Savefs(&fs2);
         Savefs(&fs3);
      } else {
         fs3 = Readfs();
         fs2 = Readfs();
         fs1 = Readfs();
         Double_t pos = 0;
         if (!abovePlace) {
            Double_t addW = fs1.Width()+xfpos, addH1, addH2;
            if (opPower<opUnder) {
               addH1 = -fs1.Over()*(fFactorPos)-fs2.Under();
               addH2 = fs1.Under()+fs3.Over()*(fFactorPos);
            } else {
               addH1 = fs1.Under()+fs2.Over()*(fFactorPos);
               addH2 = -fs1.Over()*(fFactorPos)-fs3.Under();
            }
            Analyse(x+addW,y+addH2,specNewSize,text+max+1,length-max-1);
            Analyse(x+addW,y+addH1,specNewSize,text+min+1,max-min-1);
         } else {
            Double_t addW1, addW2, addH1, addH2;
            Double_t m = TMath::Max(fs1.Width(),TMath::Max(fs2.Width(),fs3.Width()));
            pos = (m-fs1.Width())/2;
            if (opPower<opUnder) {
               addH1 = -fs1.Over()*propU-fs2.Under();
               addW1 = (m-fs2.Width())/2;
               addH2 = fs1.Under()*prop+fs3.Over();
               addW2 = (m-fs3.Width())/2;
            } else {
               addH1 = fs1.Under()*prop+fs2.Over();
               addW1 = (m-fs2.Width())/2;
               addH2 = -fs1.Over()*propU-fs3.Under();
               addW2 = (m-fs3.Width())/2;
            }

            Analyse(x+addW2,y+addH2,specNewSize,text+max+1,length-max-1);
            Analyse(x+addW1,y+addH1,specNewSize,text+min+1,max-min-1);
         }

         if (min >= 2 && strncmp(&text[min-2],"{}",2)==0) {
            sprintf(&text[min-2],"  ") ;
            Analyse(x+pos,y,spec,text,min-1);
         } else {
            Analyse(x+pos,y,spec,text,min);
         }
      }

      if (!abovePlace) {
         if (opPower<opUnder) {
            result.Set(fs1.Width()+xfpos+TMath::Max(fs2.Width(),fs3.Width()),
                       fs1.Over()*fFactorPos+fs2.Height(),
                       fs1.Under()+fs3.Height()-fs3.Over()*(1-fFactorPos));
         } else {
            result.Set(fs1.Width()+xfpos+TMath::Max(fs2.Width(),fs3.Width()),
                       fs1.Over()*fFactorPos+fs3.Height(),
                       fs1.Under()+fs2.Height()-fs2.Over()*(1-fFactorPos));
         }
      } else {
         if (opPower<opUnder) {
            result.Set(TMath::Max(fs1.Width(),TMath::Max(fs2.Width(),fs3.Width())),
                       fs1.Over()*propU+fs2.Height(),fs1.Under()*prop+fs3.Height());
         } else {
            result.Set(TMath::Max(fs1.Width(),TMath::Max(fs2.Width(),fs3.Width())),
                       fs1.Over()*propU+fs3.Height(),fs1.Under()*prop+fs2.Height());
         }
      }
   }
   else if (opPower>-1) { // ^ found
      Double_t prop=1;
      Double_t xfpos = 0. ; //GetHeight()*spec.fSize/5. ;
      switch (abovePlace) {
         case 1 : //int
            prop = 1.75 ; break ;
         case 2 : // sum
            prop = 1.75;  break ;
      }
      // When increasing prop, the upper indice position is higher
      if (!fShow) {
         Int_t ltext = opPower ;
         if (ltext >= 2 && strncmp(&text[ltext-2],"{}",2)==0) {
            // upper and lower indice before the character
            // like with chemical element
            sprintf(&text[ltext-2],"I ") ;
            ltext-- ;
         }
         fs1 = Anal1(spec,text,ltext);
         fs2 = Anal1(specNewSize,text+opPower+1,length-opPower-1);
         Savefs(&fs1);
         Savefs(&fs2);
      } else {
         fs2 = Readfs();
         fs1 = Readfs();
         Int_t pos = 0;
         if (!abovePlace){
            Double_t over = fs1.Over();
            if (over <= 0) over = 1.5*fs2.Over();
            Analyse(x+fs1.Width()+xfpos,y-over*fFactorPos-fs2.Under(),specNewSize,text+opPower+1,length-opPower-1);
         } else {
            Int_t pos2=0;
            if (fs2.Width()>fs1.Width())
               pos=Int_t((fs2.Width()-fs1.Width())/2);
            else
               pos2=Int_t((fs1.Width()-fs2.Width())/2);

            Analyse(x+pos2,y-fs1.Over()*prop-fs2.Under(),specNewSize,text+opPower+1,length-opPower-1);
         }
         if (opPower >= 2 && strncmp(&text[opPower-2],"{}",2)==0) {
            sprintf(&text[opPower-2],"  ") ;
            Analyse(x+pos,y,spec,text,opPower-1);
         } else {
            Analyse(x+pos,y,spec,text,opPower);
         }
      }

      if (!abovePlace)
         result.Set(fs1.Width()+xfpos+fs2.Width(),
                    fs1.Over()*fFactorPos+fs2.Over(),fs1.Under());
      else
         result.Set(TMath::Max(fs1.Width(),fs2.Width()),fs1.Over()*prop+fs2.Height(),fs1.Under());

   }
   else if (opUnder>-1) { // _ found
      Double_t prop = .9; // scale factor for #sum & #frac
      Double_t xfpos = 0.;//GetHeight()*spec.fSize/5. ;
      Double_t fpos = fFactorPos ;
      // When increasing prop, the lower indice position is lower
      if(!fShow) {
         Int_t ltext = opUnder ;
         if (ltext >= 2 && strncmp(&text[ltext-2],"{}",2)==0) {
            // upper and lower indice before the character
            // like with chemical element
            sprintf(&text[ltext-2],"I ") ;
            ltext-- ;
         }
         fs1 = Anal1(spec,text,ltext);
         fs2 = Anal1(specNewSize,text+opUnder+1,length-opUnder-1);
         Savefs(&fs1);
         Savefs(&fs2);
      } else {
         fs2 = Readfs();
         fs1 = Readfs();
         Int_t pos = 0;
         if (!abovePlace)
            Analyse(x+fs1.Width()+xfpos,y+fs1.Under()+fs2.Over()*fpos,specNewSize,text+opUnder+1,length-opUnder-1);
         else {
            Int_t pos2=0;
            if (fs2.Width()>fs1.Width())
               pos=Int_t((fs2.Width()-fs1.Width())/2);
            else
               pos2=Int_t((fs1.Width()-fs2.Width())/2);

            Analyse(x+pos2,y+fs1.Under()*prop+fs2.Over(),specNewSize,text+opUnder+1,length-opUnder-1);
         }
         if (opUnder >= 2 && strncmp(&text[opUnder-2],"{}",2)==0) {
            sprintf(&text[opUnder-2],"  ") ;
            Analyse(x+pos,y,spec,text,opUnder-1);
         } else {
            Analyse(x+pos,y,spec,text,opUnder);
         }
      }
      if (!abovePlace)
         result.Set(fs1.Width()+xfpos+fs2.Width(),fs1.Over(),
                    fs1.Under()+fs2.Under()+fs2.Over()*fpos);
      else
         result.Set(TMath::Max(fs1.Width(),fs2.Width()),fs1.Over(),fs1.Under()*prop+fs2.Height());
   }
   else if (opBox) {
      Double_t square = GetHeight()*spec.fSize/2;
      if (!fShow) {
         fs1 = Anal1(spec,text+4,length-4);
      } else {
         fs1 = Analyse(x+square,y,spec,text+4,length-4);
         Double_t adjust = GetHeight()*spec.fSize/20;
         Double_t x1 = x+adjust ;
         Double_t x2 = x-adjust+square ;
         Double_t y1 = y;
         Double_t y2 = y-square+adjust;
         DrawLine(x1,y1,x2,y1,spec);
         DrawLine(x2,y1,x2,y2,spec);
         DrawLine(x2,y2,x1,y2,spec);
         DrawLine(x1,y2,x1,y1,spec);
      }
      result = fs1 + TLatexFormSize(square,square,0);
   }
   else if (opOdot) {
      Double_t square = GetHeight()*spec.fSize/2;
      if (!fShow) {
         fs1 = Anal1(spec,text+5,length-5);
      } else {
         fs1 = Analyse(x+1.3*square,y,spec,text+5,length-5);
         Double_t adjust = GetHeight()*spec.fSize/20;
         Double_t r1 = 0.62*square;
         Double_t y1 = y-0.3*square-adjust;
         DrawCircle(x+0.6*square,y1,r1,spec) ;
         DrawCircle(x+0.6*square,y1,r1/100,spec) ;
      }
      result = fs1 + TLatexFormSize(square,square,0);
   }
   else if (opPerp) {
      Double_t square = GetHeight()*spec.fSize/1.4;
      if (!fShow) {
         fs1 = Anal1(spec,text+5,length-5);
      } else {
         fs1 = Analyse(x+0.5*square,y,spec,text+5,length-5);
         Double_t x0 = x  + 0.50*square;
         Double_t x1 = x0 - 0.48*square;
         Double_t x2 = x0 + 0.48*square;
         Double_t y1 = y  + 0.6*square;
         Double_t y2 = y1 - 1.3*square;
         DrawLine(x1,y1,x2,y1,spec);
         DrawLine(x0,y1,x0,y2,spec);
      }
      result = fs1;
   }
   else if (opParallel) {
      Double_t square = GetHeight()*spec.fSize/1.4;
      if (!fShow) {
         fs1 = Anal1(spec,text+9,length-9);
      } else {
         fs1 = Analyse(x+0.5*square,y,spec,text+9,length-9);
         Double_t x1 = x + 0.15*square;
         Double_t x2 = x + 0.45*square;
         Double_t y1 = y + 0.3*square;
         Double_t y2 = y1- 1.3*square;
         DrawLine(x1,y1,x1,y2,spec);
         DrawLine(x2,y1,x2,y2,spec);
      }
      result = fs1 + TLatexFormSize(square,square,0);
   }
   else if (opGreek>-1) {
      TextSpec_t newSpec = spec;
      newSpec.fFont = 122;
      char letter = 97 + opGreek;
 //        Double_t yoffset = GetHeight()*spec.fSize/20.; // Greek letter too low
      Double_t yoffset = 0.; // Greek letter too low
      if (opGreek>25) letter -= 58;
      if (opGreek == 52) letter = '\241'; //varUpsilon
      if (opGreek == 53) letter = '\316'; //epsilon
      if (!fShow) {
         fs1 = Anal1(newSpec,&letter,1);
         fs2 = Anal1(spec,text+strlen(tab[opGreek])+1,length-strlen(tab[opGreek])-1);
         Savefs(&fs1);
      } else {
         fs1 = Readfs();
         Analyse(x+fs1.Width(),y,spec,text+strlen(tab[opGreek])+1,length-strlen(tab[opGreek])-1);
         Analyse(x,y-yoffset,newSpec,&letter,1);
      }
      fs1.AddOver(TLatexFormSize(0,yoffset,0)) ;
      result = fs1+fs2;
   }

   else if (opSpec>-1) {
      TextSpec_t newSpec = spec;
      newSpec.fFont = 122;
      char letter = '\243' + opSpec;
      if(opSpec == 75 || opSpec == 76) {
         newSpec.fFont = GetTextFont();
         if (opSpec == 75) letter = '\305'; // AA Angstroem
         if (opSpec == 76) letter = '\345'; // aa Angstroem
      }
      Double_t props, propi;
      props = 1.8 ; // scale factor for #sum(66)
      propi = 2.3 ; // scale factor for  #int(79)

      if (opSpec==66 ) {
         newSpec.fSize = spec.fSize*props;
      } else if (opSpec==79) {
         newSpec.fSize = spec.fSize*propi;
      }
      if (!fShow) {
         fs1 = Anal1(newSpec,&letter,1);
         if (opSpec == 79 || opSpec == 66)
            fs1.Set(fs1.Width(),fs1.Over()*0.45,fs1.Over()*0.45);

         fs2 = Anal1(spec,text+strlen(tab2[opSpec])+1,length-strlen(tab2[opSpec])-1);
         Savefs(&fs1);
      } else {
         fs1 = Readfs();
         Analyse(x+fs1.Width(),y,spec,text+strlen(tab2[opSpec])+1,length-strlen(tab2[opSpec])-1);
         if (opSpec!=66 && opSpec!=79)
            Analyse(x,y,newSpec,&letter,1);
         else {
               Analyse(x,y+fs1.Under()/2.,newSpec,&letter,1);
         }
      }
      result = fs1+fs2;
   }
   else if (opAbove>-1) {
      if (!fShow) {
         fs1 = Anal1(spec,text+strlen(tab3[opAbove])+1,length-strlen(tab3[opAbove])-1);
         Savefs(&fs1);
      } else {
         fs1 = Readfs();
         Analyse(x,y,spec,text+strlen(tab3[opAbove])+1,length-strlen(tab3[opAbove])-1);
         Double_t sub = GetHeight()*spec.fSize/14;
         Double_t x1 , y1 , x2, y2, x3, x4;
         switch(opAbove) {
         case 0: // bar
            Double_t ypos  ;
            ypos = y-fs1.Over()-sub ;//-GetHeight()*spec.fSize/4. ;
            DrawLine(x,ypos,x+fs1.Width(),ypos,spec);
            break;
         case 1: // vec
            Double_t y0 ;
            y0 = y-sub-fs1.Over() ;
            y1 = y0-GetHeight()*spec.fSize/8 ;
            x1 = x+fs1.Width() ;
            DrawLine(x,y1,x1,y1,spec);
            DrawLine(x1,y1,x1-GetHeight()*spec.fSize/4,y0-GetHeight()*spec.fSize/4,spec);
            DrawLine(x1,y1,x1-GetHeight()*spec.fSize/4,y0,spec);
            break;
         case 2: // dot
            x1 = x+fs1.Width()/2-3*sub/4 ;
            x2 = x+fs1.Width()/2+3*sub/4 ;
            y1 = y-sub-fs1.Over() ;
            DrawLine(x1,y1,x2,y1,spec);
            break;
         case 3: // hat
            x2 = x+fs1.Width()/2 ;
            y1 = y -9*sub;
            y2 = y1-2*sub;
            x1 = x2-fs1.Width()/3 ;
            x3 = x2+fs1.Width()/3 ;
            DrawLine(x1,y1,x2,y2,spec);
            DrawLine(x2,y2,x3,y1,spec);
            break;
         case 4: // ddot
            x1 = x+fs1.Width()/2-9*sub/4 ;
            x2 = x+fs1.Width()/2-3*sub/4 ;
            x3 = x+fs1.Width()/2+9*sub/4 ;
            x4 = x+fs1.Width()/2+3*sub/4 ;
            y1 = y-sub-fs1.Over() ;
            DrawLine(x1,y1,x2,y1,spec);
            DrawLine(x3,y1,x4,y1,spec);
            break;
         case 5: // acute
            x1 = x+fs1.Width()/2-0.5*sub;
            y1 = y +sub -fs1.Over() ;
            x2 = x1 +2*sub;
            y2 = y1 -2*sub;
            DrawLine(x1,y1,x2,y2,spec);
            break;
         case 6: // grave
            x1 = x+fs1.Width()/2-sub;
            y1 = y-sub-fs1.Over() ;
            x2 = x1 +2*sub;
            y2 = y1 +2*sub;
            DrawLine(x1,y1,x2,y2,spec);
            break;
         case 7: // check
            x1 = x+fs1.Width()/2 ;
            x2 = x1 -2*sub ;
            x3 = x1 +2*sub ;
            y1 = y-sub-fs1.Over() ;
            DrawLine(x2,y-3*sub-fs1.Over(),x1,y1,spec);
            DrawLine(x3,y-3*sub-fs1.Over(),x1,y1,spec);
            break;
         case 8: // tilde
            x2 = x+fs1.Width()/2 ;
            y2 = y -fs1.Over() ;
            {
               // tilde must be drawn separately on screen and on PostScript
               // because an adjustment is required along Y for PostScript.
               TVirtualPS *saveps = gVirtualPS;
               if (gVirtualPS) gVirtualPS = 0;
               Double_t sinang  = TMath::Sin(spec.fAngle/180*kPI);
               Double_t cosang  = TMath::Cos(spec.fAngle/180*kPI);
               Double_t xOrigin = (Double_t)gPad->XtoAbsPixel(fX);
               Double_t yOrigin = (Double_t)gPad->YtoAbsPixel(fY);
               Double_t xx  = gPad->AbsPixeltoX(Int_t((x2-xOrigin)*cosang+(y2-yOrigin)*sinang+xOrigin));
               Double_t yy  = gPad->AbsPixeltoY(Int_t((x2-xOrigin)*-sinang+(y2-yOrigin)*cosang+yOrigin));
               TText tilde;
               tilde.SetTextFont(fTextFont);
               tilde.SetTextColor(fTextColor);
               tilde.SetTextSize(0.9*spec.fSize);
               tilde.SetTextAlign(22);
               tilde.SetTextAngle(fTextAngle);
               tilde.PaintText(xx,yy,"~");
               if (saveps) {
                  y2 -= 4*sub;
                  yy  = gPad->AbsPixeltoY(Int_t((x2-xOrigin)*-sinang+(y2-yOrigin)*cosang+yOrigin));
                  gVirtualPS = saveps;
                  gVirtualPS->SetTextAlign(22);
                  gVirtualPS->Text(xx, yy, "~");
               } 
            }
            break;
         case 9: // slash
            x1 = x + 0.8*fs1.Width();
            y1 = y -fs1.Over() ;
            x2 = x + 0.3*fs1.Width();
            y2 = y1 + 1.2*fs1.Height();
            DrawLine(x1,y1,x2,y2,spec);
            break;
         }
      }
      Double_t div = 3;
      if (opAbove==1) div=4;
      result.Set(fs1.Width(),fs1.Over()+GetHeight()*spec.fSize/div,fs1.Under());
   }
   else if (opSquareBracket) { // operator #[]{arg}
      Double_t l = GetHeight()*spec.fSize/4;
      Double_t l2 = l/2 ;
      if (!fShow) {
         fs1 = Anal1(spec,text+3,length-3);
         Savefs(&fs1);
      } else {
         fs1 = Readfs();
         Analyse(x+l2+l,y,spec,text+3,length-3);
         DrawLine(x+l2,y-fs1.Over(),x+l2,y+fs1.Under(),spec);
         DrawLine(x+l2,y-fs1.Over(),x+l2+l,y-fs1.Over(),spec);
         DrawLine(x+l2,y+fs1.Under(),x+l2+l,y+fs1.Under(),spec);
         DrawLine(x+l2+fs1.Width()+2*l,y-fs1.Over(),x+l2+fs1.Width()+2*l,y+fs1.Under(),spec);
         DrawLine(x+l2+fs1.Width()+2*l,y-fs1.Over(),x+l2+fs1.Width()+l,y-fs1.Over(),spec);
         DrawLine(x+l2+fs1.Width()+2*l,y+fs1.Under(),x+l2+fs1.Width()+l,y+fs1.Under(),spec);
      }
      result.Set(fs1.Width()+3*l,fs1.Over(),fs1.Under());
   }
   else if (opParen) {  // operator #(){arg}
      Double_t l = GetHeight()*spec.fSize/4;
      Double_t radius2,radius1 , dw, l2 = l/2 ;
      Double_t angle = 35 ;
      if (!fShow) {
         fs1 = Anal1(spec,text+3,length-3);
         Savefs(&fs1);
         radius2 = fs1.Height() ;
         radius1 = radius2  * 2 / 3;
         dw = radius1*(1 - TMath::Cos(kPI*angle/180)) ;
      } else {
         fs1 = Readfs();
         radius2 = fs1.Height();
         radius1 = radius2  * 2 / 3;
         dw = radius1*(1 - TMath::Cos(kPI*angle/180)) ;
         Double_t x1 = x+l2+radius1 ;
         Double_t x2 = x+5*l2+2*dw+fs1.Width()-radius1 ;
         Double_t y1 = y - (fs1.Over() - fs1.Under())/2. ;
         DrawParenthesis(x1,y1,radius1,radius2,180-angle,180+angle,spec) ;
         DrawParenthesis(x2,y1,radius1,radius2,360-angle,360+angle,spec) ;
         Analyse(x+3*l2+dw,y,spec,text+3,length-3);
      }
     // result = TLatexFormSize(fs1.Width()+3*l,fs1.Over(),fs1.Under());
      result.Set(fs1.Width()+3*l+2*dw,fs1.Over(),fs1.Under());
   }
   else if (opAbs) {  // operator #||{arg}
      Double_t l = GetHeight()*spec.fSize/4;
      Double_t l2 = l/2 ;
      if (!fShow) {
         fs1 = Anal1(spec,text+3,length-3);
         Savefs(&fs1);
      } else {
         fs1 = Readfs();
         Analyse(x+l2+l,y,spec,text+3,length-3);
         DrawLine(x+l2,y-fs1.Over(),x+l2,y+fs1.Under(),spec);
         DrawLine(x+l2+fs1.Width()+2*l,y-fs1.Over(),x+l2+fs1.Width()+2*l,y+fs1.Under(),spec);
      }
      result.Set(fs1.Width()+3*l,fs1.Over(),fs1.Under());
   }
   else if (opBigCurly) { // big curly bracket  #{}{arg}
      Double_t l = GetHeight()*spec.fSize/4;
      Double_t l2 = l/2 ;
      Double_t l8 , ltip;

      if (!fShow) {
         fs1 = Anal1(spec,text+3,length-3);
         l8 = fs1.Height()/8 ;
         ltip = TMath::Min(l8,l) ;
         l = ltip ;
         Savefs(&fs1);
      } else {
         fs1 = Readfs();
         Double_t y2 = y + (fs1.Under()-fs1.Over())/2 ;
         l8 = fs1.Height()/8 ;
         ltip = TMath::Min(l8,l) ;
         l = ltip ;
         Analyse(x+l+ltip+l2,y,spec,text+3,length-3);
         // Draw open curly bracket
         // Vertical lines
         DrawLine(x+l2+ltip,y-fs1.Over(),x+l2+ltip,y2-ltip,spec);
         DrawLine(x+l2+ltip,y2+ltip,x+l2+ltip,y+fs1.Under(),spec);
         // top and bottom lines
         DrawLine(x+l2+ltip,y-fs1.Over(),x+l2+ltip+l,y-fs1.Over(),spec);
         DrawLine(x+l2+ltip,y+fs1.Under(),x+l2+ltip+l,y+fs1.Under(),spec);
         // < sign
         DrawLine(x+l2,y2,x+l2+ltip,y2-ltip,spec);
         DrawLine(x+l2,y2,x+l2+ltip,y2+ltip,spec);

         // Draw close curly bracket
         // vertical lines
         DrawLine(x+l2+ltip+fs1.Width()+2*l,y-fs1.Over(),x+l2+ltip+fs1.Width()+2*l,y2-ltip,spec);
         DrawLine(x+l2+ltip+fs1.Width()+2*l,y2+ltip,x+l2+ltip+fs1.Width()+2*l,y+fs1.Under(),spec);
         // Top and bottom lines
         DrawLine(x+l2+fs1.Width()+l+ltip,y-fs1.Over(),x+l2+ltip+fs1.Width()+2*l,y-fs1.Over(),spec);
         DrawLine(x+l2+fs1.Width()+l+ltip,y+fs1.Under(),x+l2+ltip+fs1.Width()+2*l,y+fs1.Under(),spec);
         // > sign
         DrawLine(x+l2+ltip+2*l+fs1.Width(),y2-ltip,x+l2+2*l+2*ltip+fs1.Width(),y2,spec);
         DrawLine(x+l2+ltip+2*l+fs1.Width(),y2+ltip,x+l2+2*l+2*ltip+fs1.Width(),y2,spec);
      }
      result.Set(fs1.Width()+3*l+2*ltip,fs1.Over(),fs1.Under()) ;;
   }
   else if (opFrac>-1) { // \frac found
      if (opCurlyCurly==-1) { // }{ not found
         // arguments missing for \frac
         fError = "Missing denominator for #frac";
         return TLatexFormSize(0,0,0);
      }
      Double_t height = GetHeight()*spec.fSize/8;
      if (!fShow) {
         fs1 = Anal1(spec,text+opFrac+6,opCurlyCurly-opFrac-6);
         fs2 = Anal1(spec,text+opCurlyCurly+2,length-opCurlyCurly-3);
         Savefs(&fs1);
         Savefs(&fs2);
      } else {
         fs2 = Readfs();
         fs1 = Readfs();
         Double_t addW1,addW2;
         if (fs1.Width()<fs2.Width()) {
            addW1 = (fs2.Width()-fs1.Width())/2;
            addW2 = 0;
         } else {
            addW1 = 0;
            addW2 = (fs1.Width()-fs2.Width())/2;
         }
         Analyse(x+addW2,y+fs2.Over()-height,spec,text+opCurlyCurly+2,length-opCurlyCurly-3);  // denominator
         Analyse(x+addW1,y-fs1.Under()-3*height,spec,text+opFrac+6,opCurlyCurly-opFrac-6); //numerator

         DrawLine(x,y-2*height,x+TMath::Max(fs1.Width(),fs2.Width()),y-2*height,spec);
      }

      result.Set(TMath::Max(fs1.Width(),fs2.Width()),fs1.Height()+3*height,fs2.Height()-height);

   }
   else if (opSplitLine>-1) { // \splitline found
      if (opCurlyCurly==-1) { // }{ not found
         // arguments missing for \splitline
         fError = "Missing second line for #splitline";
         return TLatexFormSize(0,0,0);
      }
      Double_t height = GetHeight()*spec.fSize/8;
      if (!fShow) {
         fs1 = Anal1(spec,text+opSplitLine+11,opCurlyCurly-opSplitLine-11);
         fs2 = Anal1(spec,text+opCurlyCurly+2,length-opCurlyCurly-3);
         Savefs(&fs1);
         Savefs(&fs2);
      } else {
         fs2 = Readfs();
         fs1 = Readfs();
         Analyse(x,y+fs2.Over()-height,spec,text+opCurlyCurly+2,length-opCurlyCurly-3);  // second line
         Analyse(x,y-fs1.Under()-3*height,spec,text+opSplitLine+11,opCurlyCurly-opSplitLine-11); //first line
      }

      result.Set(TMath::Max(fs1.Width(),fs2.Width()),fs1.Height()+3*height,fs2.Height()-height);

   }
   else if (opSqrt>-1) { // \sqrt found
      if (!fShow) {
         if (opSquareCurly>-1) {
            // power nth  #sqrt[n]{arg}
            fs1 = Anal1(specNewSize,text+opSqrt+6,opSquareCurly-opSqrt-6);
            fs2 = Anal1(spec,text+opSquareCurly+1,length-opSquareCurly-1);
            Savefs(&fs1);
            Savefs(&fs2);
            result.Set(fs2.Width()+ GetHeight()*spec.fSize/10+TMath::Max(GetHeight()*spec.fSize/2,(Double_t)fs1.Width()),
                       fs2.Over()+fs1.Height()+GetHeight()*spec.fSize/4,fs2.Under());
         } else {
            fs1 = Anal1(spec,text+opSqrt+5,length-opSqrt-5);
            Savefs(&fs1);
            result.Set(fs1.Width()+GetHeight()*spec.fSize/2,fs1.Over()+GetHeight()*spec.fSize/4,fs1.Under());
         }
      } else {
         if (opSquareCurly>-1) { // ]{
            fs2 = Readfs();
            fs1 = Readfs();
            Double_t pas = TMath::Max(GetHeight()*spec.fSize/2,(Double_t)fs1.Width());
            Double_t pas2 = pas + GetHeight()*spec.fSize/10;
            Double_t y1 = y-fs2.Over() ;
            Double_t y2 = y+fs2.Under() ;
            Double_t y3 = y1-GetHeight()*spec.fSize/4;
            Analyse(x+pas2,y,spec,text+opSquareCurly+1,length-opSquareCurly-1);
            Analyse(x,y-fs2.Over()-fs1.Under(),specNewSize,text+opSqrt+6,opSquareCurly-opSqrt-6); // indice
            DrawLine(x,y1,x+pas,y2,spec);
            DrawLine(x+pas,y2,x+pas,y3,spec);
            DrawLine(x+pas,y3,x+pas2+fs2.Width(),y3,spec);
         } else {
            fs1 = Readfs();
            Double_t x1 = x+GetHeight()*spec.fSize*2/5 ;
            Double_t x2 = x+GetHeight()*spec.fSize/2+fs1.Width() ;
            Double_t y1 = y-fs1.Over() ;
            Double_t y2 = y+fs1.Under() ;
            Double_t y3 = y1-GetHeight()*spec.fSize/4;

            Analyse(x+GetHeight()*spec.fSize/2,y,spec,text+opSqrt+6,length-opSqrt-7);
            DrawLine(x,y1,x1,y2,spec);
            DrawLine(x1,y2,x1,y3,spec);
            DrawLine(x1,y3,x2,y3,spec);

         }
      }
   }
   else if (opColor>-1) { // \color found
      if (opSquareCurly==-1) {
         // color number is not specified
         fError = "Missing color number. Syntax is #color[(Int_t)nb]{ ... }";
         return TLatexFormSize(0,0,0);
      }
      TextSpec_t newSpec = spec;
      Char_t *nb = new Char_t[opSquareCurly-opColor-7];
      strncpy(nb,text+opColor+7,opSquareCurly-opColor-7);
      if (sscanf(nb,"%d",&newSpec.fColor) < 1) {
         delete[] nb;
         // color number is invalid
         fError = "Invalid color number. Syntax is #color[(Int_t)nb]{ ... }";
         return TLatexFormSize(0,0,0);
      }
      delete[] nb;
      if (!fShow) {
         result = Anal1(newSpec,text+opSquareCurly+1,length-opSquareCurly-1);
      } else {
         Analyse(x,y,newSpec,text+opSquareCurly+1,length-opSquareCurly-1);
      }
   }
   else if (opFont>-1) { // \font found
      if (opSquareCurly==-1) {
         // font number is not specified
         fError = "Missing font number. Syntax is #font[nb]{ ... }";
         return TLatexFormSize(0,0,0);
      }
      TextSpec_t newSpec = spec;
      Char_t *nb = new Char_t[opSquareCurly-opFont-6];
      strncpy(nb,text+opFont+6,opSquareCurly-opFont-6);
      if (sscanf(nb,"%d",&newSpec.fFont) < 1) {
         delete[] nb;
         // font number is invalid
         fError = "Invalid font number. Syntax is #font[(Int_t)nb]{ ... }";
         return TLatexFormSize(0,0,0);
      }
      delete[] nb;
      if (!fShow) {
         result = Anal1(newSpec,text+opSquareCurly+1,length-opSquareCurly-1);
      } else {
         Analyse(x,y,newSpec,text+opSquareCurly+1,length-opSquareCurly-1);
      }
   } else { // no operators found, it is a character string
      SetTextSize(spec.fSize);
      SetTextAngle(spec.fAngle);
      SetTextColor(spec.fColor);
      SetTextFont(spec.fFont);
      SetTextAlign(11);
      TAttText::Modify();
      UInt_t w=0,h=0;

      Int_t leng = strlen(text) ;

      quote1 = quote2 = kFALSE ;
      Char_t *p ;
      for (i=0 ; i<leng ; i++) {
         switch (text[i]) {
            case '\'' : quote1 = !quote1 ; break ; // single quote symbol not correctly interpreted when PostScript
            case '"'  : quote2 = !quote2 ;  break ;
         }
         //if (quote1 || quote2) continue ;
         if (text[i] == '@') {  // @ symbol not correctly interpreted when PostScript
            p = &text[i] ;
            if ( *(p+1) == '{' || *(p+1) == '}' || *(p+1) == '[' || *(p+1) == ']') {
               while (*p != 0) {
                  *p = *(p+1) ; p++ ;
               }
               leng-- ;
            }
         }
      }
      text[leng] = 0 ;

      GetTextExtent(w,h,text);
      Double_t width = w;
      UInt_t a,d;
      GetTextAscentDescent(a, d, text);
      fs1.Set(width,a,d);

      if (fShow) {
         // paint the Latex sub-expression per sub-expression
         Double_t xOrigin = (Double_t)gPad->XtoAbsPixel(fX);
         Double_t yOrigin = (Double_t)gPad->YtoAbsPixel(fY);
         Double_t angle   = kPI*spec.fAngle/180.;
         Double_t xx = gPad->AbsPixeltoX(Int_t((x-xOrigin)*TMath::Cos(angle)+(y-yOrigin)*TMath::Sin(angle)+xOrigin));
         Double_t yy = gPad->AbsPixeltoY(Int_t((x-xOrigin)*TMath::Sin(-angle)+(y-yOrigin)*TMath::Cos(angle)+yOrigin));
         gPad->PaintText(xx,yy,text);
      }

      result = fs1;
   }

   delete[] text;

   return result;
}


//______________________________________________________________________________
 TLatex *TLatex::DrawLatex(Double_t x, Double_t y, const char *text)
{
   // Make a copy of this object with the new parameters
   // And copy object attributes

   TLatex *newtext = new TLatex(x, y, text);
   TAttText::Copy(*newtext);
   newtext->SetBit(kCanDelete);
   if (TestBit(kTextNDC)) newtext->SetNDC();
   newtext->AppendPad();
   return newtext;
}


//______________________________________________________________________________
 void TLatex::DrawLine(Double_t x1, Double_t y1, Double_t x2, Double_t y2, TextSpec_t spec)
{
   // Draw a line in a Latex formula

   Double_t sinang  = TMath::Sin(spec.fAngle/180*kPI);
   Double_t cosang  = TMath::Cos(spec.fAngle/180*kPI);
   Double_t xOrigin = (Double_t)gPad->XtoAbsPixel(fX);
   Double_t yOrigin = (Double_t)gPad->YtoAbsPixel(fY);
   Double_t xx  = gPad->AbsPixeltoX(Int_t((x1-xOrigin)*cosang+(y1-yOrigin)*sinang+xOrigin));
   Double_t yy  = gPad->AbsPixeltoY(Int_t((x1-xOrigin)*-sinang+(y1-yOrigin)*cosang+yOrigin));

   Double_t xx2 = gPad->AbsPixeltoX(Int_t((x2-xOrigin)*cosang+(y2-yOrigin)*sinang+xOrigin));
   Double_t yy2 = gPad->AbsPixeltoY(Int_t((x2-xOrigin)*-sinang+(y2-yOrigin)*cosang+yOrigin));

   SetLineColor(spec.fColor);
   TAttLine::Modify();
   gPad->PaintLine(xx,yy,xx2,yy2);
}


//______________________________________________________________________________
 void TLatex::DrawCircle(Double_t x1, Double_t y1, Double_t r, TextSpec_t spec )
{
   // Draw an arc of ellipse in a Latex formula (right or left parenthesis)

   if (r < 1) r = 1;
   Double_t sinang  = TMath::Sin(spec.fAngle/180*kPI);
   Double_t cosang  = TMath::Cos(spec.fAngle/180*kPI);
   Double_t xOrigin = (Double_t)gPad->XtoAbsPixel(fX);
   Double_t yOrigin = (Double_t)gPad->YtoAbsPixel(fY);

   const Int_t np = 40;
   Double_t dphi = 2*kPI/np;
   Double_t x[np+3], y[np+3];
   Double_t angle,dx,dy;

   SetLineColor(spec.fColor);
   TAttLine::Modify();  //Change line attributes only if necessary

   for (Int_t i=0;i<=np;i++) {
      angle = Double_t(i)*dphi;
      dx    = r*TMath::Cos(angle) +x1 -xOrigin;
      dy    = r*TMath::Sin(angle) +y1 -yOrigin;
      x[i]  = gPad->AbsPixeltoX(Int_t( dx*cosang+ dy*sinang +xOrigin));
      y[i]  = gPad->AbsPixeltoY(Int_t(-dx*sinang+ dy*cosang +yOrigin));
   }
   gPad->PaintPolyLine(np+1,x,y);
}


//______________________________________________________________________________
 void TLatex::DrawParenthesis(Double_t x1, Double_t y1, Double_t r1, Double_t r2,
                     Double_t  phimin, Double_t  phimax, TextSpec_t spec )
{
   // Draw an arc of ellipse in a Latex formula (right or left parenthesis)

   if (r1 < 1) r1 = 1;
   if (r2 < 1) r2 = 1;
   Double_t sinang  = TMath::Sin(spec.fAngle/180*kPI);
   Double_t cosang  = TMath::Cos(spec.fAngle/180*kPI);
   Double_t xOrigin = (Double_t)gPad->XtoAbsPixel(fX);
   Double_t yOrigin = (Double_t)gPad->YtoAbsPixel(fY);

   const Int_t np = 40;
   Double_t dphi = (phimax-phimin)*kPI/(180*np);
   Double_t x[np+3], y[np+3];
   Double_t angle,dx,dy ;

   SetLineColor(spec.fColor);
   TAttLine::Modify();  //Change line attributes only if necessary

   for (Int_t i=0;i<=np;i++) {
      angle = phimin*kPI/180 + Double_t(i)*dphi;
      dx    = r1*TMath::Cos(angle) +x1 -xOrigin;
      dy    = r2*TMath::Sin(angle) +y1 -yOrigin;
      x[i]  = gPad->AbsPixeltoX(Int_t( dx*cosang+dy*sinang +xOrigin));
      y[i]  = gPad->AbsPixeltoY(Int_t(-dx*sinang+dy*cosang +yOrigin));
   }
   gPad->PaintPolyLine(np+1,x,y);
}


//______________________________________________________________________________
 void TLatex::Paint(Option_t *)
{
   // Paint

   Double_t xsave = fX;
   Double_t ysave = fY;
   if (TestBit(kTextNDC)) {
      fX = gPad->GetX1() + xsave*(gPad->GetX2() - gPad->GetX1());
      fY = gPad->GetY1() + ysave*(gPad->GetY2() - gPad->GetY1());
      PaintLatex(fX,fY,GetTextAngle(),GetTextSize(),GetTitle());
   } else {
      PaintLatex(gPad->XtoPad(fX),gPad->YtoPad(fY),GetTextAngle(),GetTextSize(),GetTitle());
   }
   fX = xsave;
   fY = ysave;
}


//______________________________________________________________________________
 void TLatex::PaintLatex(Double_t x, Double_t y, Double_t angle, Double_t size, const Char_t *text1)
{
   // Main drawing function

   TAttText::Modify();  //Change text attributes only if necessary

   // do not use Latex if font is low precision
   if (fTextFont%10 < 2) {
      gPad->PaintText(x,y,text1);
      return;
   }

   Double_t saveSize = size;
   Int_t saveFont = fTextFont;
   if (fTextFont%10 > 2) {
      UInt_t w = TMath::Abs(gPad->XtoAbsPixel(gPad->GetX2()) -
                            gPad->XtoAbsPixel(gPad->GetX1()));
      UInt_t h = TMath::Abs(gPad->YtoAbsPixel(gPad->GetY2()) -
                            gPad->YtoAbsPixel(gPad->GetY1()));
      if (w < h)
         size = size/w;
      else
         size = size/h;
      SetTextFont(10*(saveFont/10) + 2);
   }
   if (gVirtualPS) gVirtualPS->SetBit(kLatex);

   TString newText = text1;

   if( newText.Length() == 0) return;

   fError = 0 ;
   if (CheckLatexSyntax(newText)) {
      cout<<"\n*ERROR<TLatex>: "<<fError<<endl;
      cout<<"==> "<<text1<<endl;
      return ;
   }
   fError = 0 ;

   Int_t length = newText.Length() ;
   const Char_t *text = newText.Data() ;

   fX=x;
   fY=y;
   x = gPad->XtoAbsPixel(x);
   y = gPad->YtoAbsPixel(y);
   fShow = kFALSE ;
   TLatexFormSize fs = FirstParse(angle,size,text);

   fOriginSize = size;

   //get current line attributes
   Short_t lineW = GetLineWidth();
   Int_t lineC = GetLineColor();

   TextSpec_t spec;
   spec.fAngle = angle;
   spec.fSize  = size;
   spec.fColor = GetTextColor();
   spec.fFont  = GetTextFont();
   Short_t halign = fTextAlign/10;
   Short_t valign = fTextAlign - 10*halign;
   TextSpec_t newSpec = spec;
   if (fError != 0) {
      cout<<"*ERROR<TLatex>: "<<fError<<endl;
      cout<<"==> "<<text<<endl;
   } else {
      fShow = kTRUE;
      Double_t mul = 1;
      newSpec.fSize = mul*size;

      switch (valign) {
         case 0: y -= fs.Under()*mul; break;
         case 1: break;
         case 2: y += (fs.Over()-fs.Under())*mul/1.5; break;
         case 3: y += fs.Over()*mul;  break;
      }
      switch (halign) {
         case 2: x -= fs.Width()*mul/2  ; break;
         case 3: x -= fs.Width()*mul    ;   break;
      }
      Analyse(x,y,newSpec,text,length);
   }

   SetTextSize(saveSize);
   SetTextAngle(angle);
   SetTextFont(saveFont);
   SetTextColor(spec.fColor);
   SetTextAlign(valign+10*halign);
   SetLineWidth(lineW);
   SetLineColor(lineC);
   delete[] fTabSize;

   if (gVirtualPS) gVirtualPS->ResetBit(kLatex);
}


//______________________________________________________________________________
 Int_t TLatex::CheckLatexSyntax(TString &text)
{
   // Check if the Latex syntax is correct

   const Char_t *kWord1[] = {"{}^{","{}_{","^{","_{","#color{","#font{","#sqrt{","#[]{","#{}{","#||{",
                       "#bar{","#vec{","#dot{","#hat{","#ddot{","#acute{","#grave{","#check{","#tilde{","#slash{",
                       "\\color{","\\font{","\\sqrt{","\\[]{","\\{}{","\\||{","#(){","\\(){",
                       "\\bar{","\\vec{","\\dot{","\\hat{","\\ddot{","\\acute{","\\grave{","\\check{"}; // check for }
   const Char_t *kWord2[] = {"#color[","#font[","#sqrt[","\\color[","\\font[","\\sqrt["}; // check for ]{ + }
   const Char_t *kWord3[] = {"#frac{","\\frac{","#splitline{","\\splitline{"} ; // check for }{ then }
   const Char_t *kLeft1[] = {"#left[","\\left[","#left{","\\left{","#left|","\\left|","#left(","\\left("} ;
   const Char_t *kLeft2[] = {"#[]{","#[]{","#{}{","#{}{","#||{","#||{","#(){","#(){"} ;
   const Char_t *kRight[] = {"#right]","\\right]","#right}","\\right}","#right|","\\right|","#right)","\\right)"} ;
   Int_t lkWord1[] = {4,4,2,2,7,6,6,4,4,4,
                      5,5,5,5,6,7,7,7,7,7,
                      7,6,6,4,4,4,4,4,
                      5,5,5,5,6,7,7,7} ;
   Int_t lkWord2[] = {7,6,6,7,6,6} ;
   Int_t lkWord3[] = {6,6,11,11} ;
   Int_t nkWord1 = 36, nkWord2 = 6, nkWord3 = 4 ;
   Int_t nLeft1 , nRight , nOfLeft, nOfRight;
   Int_t lLeft1 = 6 ;
   Int_t lLeft2 = 4 ;
   Int_t lRight = 7 ;
   nLeft1  = nRight   = 8 ;
   nOfLeft = nOfRight = 0 ;

   Int_t i,k ;
   Char_t buf[11] ; for (i=0;i<11;i++) buf[i]=0;
   Bool_t opFound ;
   Int_t  opFrac = 0;
   Int_t length = text.Length() ;

   Int_t nOfCurlyBracket, nOfKW1, nOfKW2, nOfKW3, nOfSquareCurly, nOfCurlyCurly ;
   Int_t nOfExtraCurly = 0 , nOfExtraSquare = 0;
   Int_t nOfSquareBracket = 0 ;
   Int_t error = 0  ;
   Bool_t quote1 = kFALSE , quote2 = kFALSE;

   // first find and replace all occurences of "kLeft1" keyword by "kLeft2" keyword,
   // and all occurences of "kRight" keyword by "}".
   i = 0 ;
   while (i < length) {
      strncpy(buf,&text[i],TMath::Min(7,length-i));
      opFound = kFALSE ;
      for (k = 0 ; k < nLeft1 ; k++) {
         if (strncmp(buf,kLeft1[k],lLeft1)==0) {
            nOfLeft++ ;
            i+=lLeft1 ;
            opFound = kTRUE ;
            break ;
         }
      }
      if (opFound) continue ;

      for(k=0;k<nRight;k++) {
         if (strncmp(buf,kRight[k],lRight)==0) {
            nOfRight++ ;
            i+=lRight ;
            opFound = kTRUE ;
            break ;
         }
      }
      if (!opFound) i++ ;
   }
   if (nOfLeft != nOfRight) {
      printf(" nOfLeft = %d, nOfRight = %d\n",nOfLeft,nOfRight) ;
      error = 1 ;
      fError = "Operators \"#left\" and \"#right\" don't match !" ;
      goto ERROR_END ;
   }

   for (k = 0 ; k < nLeft1 ; k++) {
      text.ReplaceAll(kLeft1[k],lLeft1,kLeft2[k],lLeft2) ;
   }
   for (k = 0 ; k < nRight ; k++) {
      text.ReplaceAll(kRight[k],lRight,"}",1) ;
   }
   length = text.Length() ;

   i = nOfCurlyBracket = nOfKW1 = nOfKW2 = nOfKW3 = nOfSquareCurly = nOfCurlyCurly =0 ;
   while (i< length){
         switch (text[i]) {
            case '"' : quote1 = !quote1 ; break ;
            case '\'': quote2 = !quote2 ; break ;
         }
         strncpy(buf,&text[i],TMath::Min(11,length-i));
         opFound = kFALSE ;

         for(k=0;k<nkWord1;k++) {
            if (strncmp(buf,kWord1[k],lkWord1[k])==0) {
               nOfKW1++ ;
               i+=lkWord1[k] ;
               opFound = kTRUE ;
               nOfCurlyBracket++ ;
               break ;
            }
         }
         if (opFound) continue ;

         for(k=0;k<nkWord2;k++) {
            if (strncmp(buf,kWord2[k],lkWord2[k])==0) {
               nOfKW2++ ;
               i+=lkWord2[k] ;
               opFound = kTRUE ;
               nOfSquareBracket++;
               break ;
            }
         }
         if (opFound) continue ;

         for(k=0;k<nkWord3;k++) {
            if (strncmp(buf,kWord3[k],lkWord3[k])==0) {
               nOfKW3++ ;
               i+=lkWord3[k] ;
               opFound = kTRUE ;
               opFrac++ ;
               nOfCurlyBracket++ ;
               break ;
            }
         }
         if (opFound) continue ;
         if (strncmp(buf,"}{",2) == 0 && opFrac) {
               opFrac-- ;
               nOfCurlyCurly++ ;
               i+= 2;
         }
         else if (strncmp(buf,"]{",2) == 0 && nOfSquareBracket) {
               nOfSquareCurly++ ;
               i+= 2 ;
               nOfCurlyBracket++ ;
               nOfSquareBracket-- ;
         }
         else if (strncmp(buf,"@{",2) == 0 || strncmp(buf,"@}",2) == 0) {
               i+= 2 ;
         }
         else if (strncmp(buf,"@[",2) == 0 || strncmp(buf,"@]",2) == 0) {
               i+= 2 ;
         }
         else if (text[i] == ']' ) {  // not belonging to a key word, add @ in front
               text.Insert(i,"@") ;
               length++ ;
               i+=2 ;
               nOfExtraSquare-- ;
         }
         else if (text[i] == '[' ) {  // not belonging to a key word, add @ in front
               text.Insert(i,"@") ;
               length++ ;
               i+=2 ;
               nOfExtraSquare++ ;
         }
         else if (text[i] == '{' ) {  // not belonging to a key word, add @ in front
               text.Insert(i,"@") ;
               length++ ;
               i+=2 ;
               nOfExtraCurly++ ;
         }
         else if (text[i] == '}' ) {
            if ( nOfCurlyBracket) {
               nOfCurlyBracket-- ;
               i++ ;
            } else  { // extra }, add @ in front
               text.Insert(i,"@") ;
               length++ ;
               i+=2 ;
               nOfExtraCurly-- ;
            }
         } else {
            i++ ;
            buf[1] = 0 ;
         }
   }

   if (nOfKW2 != nOfSquareCurly) {
      error = 1 ;
      fError = "Invalid number of \"]{\"" ;
   }
   else if (nOfKW3 != nOfCurlyCurly) {
      error = 1 ;
      fError = "Error in syntax of  \"#frac\"" ;
   }
   else if (nOfCurlyBracket  < 0) {
      error = 1 ;
      fError = "Missing \"{\"" ;
   }
   else if (nOfCurlyBracket  > 0) {
      error = 1 ;
      fError = "Missing \"}\"" ;
   }
   else if (nOfSquareBracket  < 0) {
      error  = 1 ;
      fError = "Missing \"[\"" ;
   }
   else if (nOfSquareBracket  > 0) {
      error = 1 ;
      fError = "Missing \"]\"" ;
   }

   ERROR_END:
   return error ;
}


//______________________________________________________________________________
 TLatexFormSize TLatex::FirstParse(Double_t angle, Double_t size, const Char_t *text)
{
   // First parsing of the analyse sequence

   fError   = 0;
   fTabMax  = 100;
   fTabSize = new FormSize_t[fTabMax];
   // we assume less than 100 parts in one formula
   // we will reallocate if necessary.
   fPos        = 0;
   fShow       = kFALSE;
   fOriginSize = size;

   //get current line attributes
   Short_t lineW = GetLineWidth();
   Int_t lineC = GetLineColor();

   TextSpec_t spec;
   spec.fAngle = angle;
   spec.fSize  = size;
   spec.fColor = GetTextColor();
   spec.fFont  = GetTextFont();
   Short_t halign = fTextAlign/10;
   Short_t valign = fTextAlign - 10*halign;

   TLatexFormSize fs = Anal1(spec,text,strlen(text));

   SetTextSize(size);
   SetTextAngle(angle);
   SetTextFont(spec.fFont);
   SetTextColor(spec.fColor);
   SetTextAlign(valign+10*halign);
   SetLineWidth(lineW);
   SetLineColor(lineC);
   return fs;
}


//______________________________________________________________________________
 Double_t TLatex::GetHeight() const
{
   // Return height of current pad in pixels

   Double_t w = gPad->GetAbsWNDC()*Double_t(gPad->GetWw());
   Double_t h = gPad->GetAbsHNDC()*Double_t(gPad->GetWh());
   if (w < h)
      return w;
   else
      return h;
}


//______________________________________________________________________________
 Double_t TLatex::GetXsize()
{
   // Return size of the formula along X in pad coordinates

   if (!gPad) return 0;
   TString newText = GetTitle();
   if( newText.Length() == 0) return 0;
   fError = 0 ;
   if (CheckLatexSyntax(newText)) {
      cout<<"\n*ERROR<TLatex>: "<<fError<<endl;
      cout<<"==> "<<GetTitle()<<endl;
      return 0;
   }
   fError = 0 ;

   const Char_t *text = newText.Data() ;
   TLatexFormSize fs = FirstParse(0,GetTextSize(),text);
   delete[] fTabSize;
   return TMath::Abs(gPad->AbsPixeltoX(Int_t(fs.Width())) - gPad->AbsPixeltoX(0));
}


//______________________________________________________________________________
 void TLatex::GetBoundingBox(UInt_t &w, UInt_t &h)
{
   // Return text size in pixels

   if (!gPad) return;
   TString newText = GetTitle();
   if( newText.Length() == 0) return;
   fError = 0 ;
   if (CheckLatexSyntax(newText)) {
      cout<<"\n*ERROR<TLatex>: "<<fError<<endl;
      cout<<"==> "<<GetTitle()<<endl;
      return;
   }
   fError = 0 ;

   const Char_t *text = newText.Data() ;
   TLatexFormSize fs = FirstParse(GetTextAngle(),GetTextSize(),text);
   delete[] fTabSize;
   w = (UInt_t)fs.Width();
   h = (UInt_t)fs.Height();
}


//______________________________________________________________________________
 Double_t TLatex::GetYsize()
{
   // Return size of the formula along Y in pad coordinates

   if (!gPad) return 0;
   TString newText = GetTitle();
   if( newText.Length() == 0) return 0;
   fError = 0 ;
   if (CheckLatexSyntax(newText)) {
      cout<<"\n*ERROR<TLatex>: "<<fError<<endl;
      cout<<"==> "<<GetTitle()<<endl;
      return 0;
   }
   fError = 0 ;

   const Char_t *text = newText.Data() ;
   TLatexFormSize fs = FirstParse(0,GetTextSize(),text);
   delete[] fTabSize;
   return TMath::Abs(gPad->AbsPixeltoY(Int_t(fs.Height())) - gPad->AbsPixeltoY(0));
}


//______________________________________________________________________________
 TLatexFormSize TLatex::Readfs()
{
   // Read fs in fTabSize

   fPos--;
   TLatexFormSize result(fTabSize[fPos].fWidth,fTabSize[fPos].fOver,fTabSize[fPos].fUnder);
   return result;
}


//______________________________________________________________________________
 void TLatex::Savefs(TLatexFormSize *fs)
{
   // Save fs values in array fTabSize

   fTabSize[fPos].fWidth  = fs->Width();
   fTabSize[fPos].fOver   = fs->Over();
   fTabSize[fPos].fUnder  = fs->Under();
   fPos++;
   if (fPos>=fTabMax) {
      // allocate more memory
      FormSize_t *temp = new FormSize_t[fTabMax+100];
      // copy array
      memcpy(temp,fTabSize,fTabMax*sizeof(FormSize_t));
      fTabMax += 100;
      // free previous array
      delete [] fTabSize;
      // swap pointers
      fTabSize = temp;
   }
}


//______________________________________________________________________________
 void TLatex::SavePrimitive(ofstream &out, Option_t *)
{
   // Save primitive as a C++ statement(s) on output stream out

   char quote = '"';
   if (gROOT->ClassSaved(TLatex::Class())) {
      out<<"   ";
   } else {
      out<<"   TLatex *";
   }
   TString s = GetTitle();
   s.ReplaceAll("\"","\\\"");
   out<<"   tex = new TLatex("<<fX<<","<<fY<<","<<quote<<s.Data()<<quote<<");"<<endl;
   if (TestBit(kTextNDC)) out<<"tex->SetNDC();"<<endl;

   SaveTextAttributes(out,"tex",11,0,1,62,0.05);
   SaveLineAttributes(out,"tex",1,1,1);

   out<<"   tex->Draw();"<<endl;
}


//______________________________________________________________________________
 void TLatex::SetIndiceSize(Double_t factorSize)
{
   // Set relative size of subscripts and superscripts

   fFactorSize = factorSize;
}


//______________________________________________________________________________
 void TLatex::SetLimitIndiceSize(Int_t limitFactorSize)
{
   // Set limit for text resizing of subscipts and superscripts

   fLimitFactorSize = limitFactorSize;
}


ROOT page - Class index - Class Hierarchy - Top of the page

This page has been automatically generated. If you have any comments or suggestions about the page layout send a mail to ROOT support, or contact the developers with any questions or problems regarding ROOT.